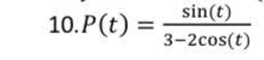
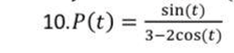
Question: Differentiate the following function: 10.P(t) = sin(t) 3-2cos(t) 10.p(t) 3-2COS(t)

Differentiate the following function:

10.P(t) = sin(t) 3-2cos(t)
10.p(t) 3-2COS(t)
Step by Step Solution
There are 3 Steps involved in it
Get step-by-step solutions from verified subject matter experts
