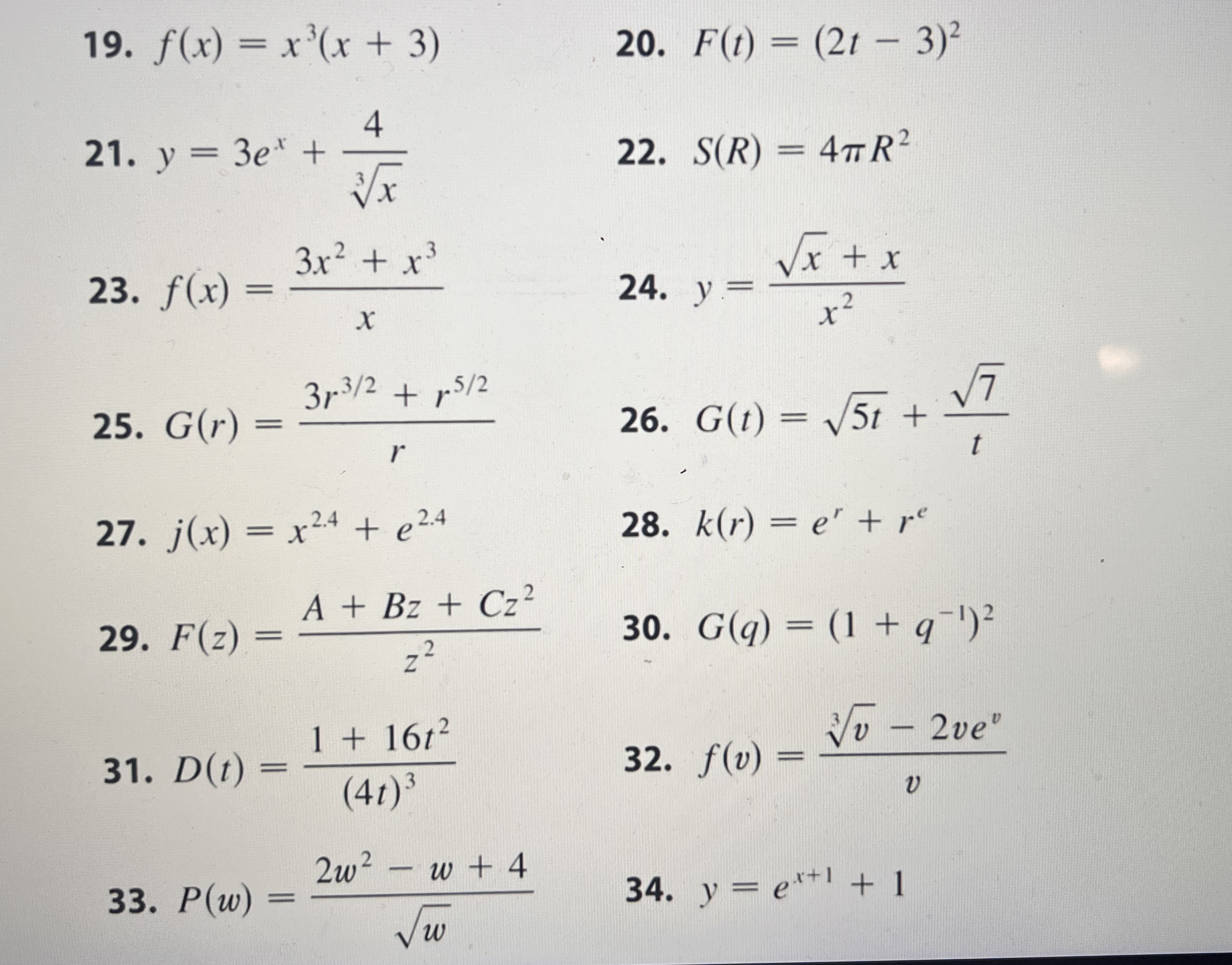
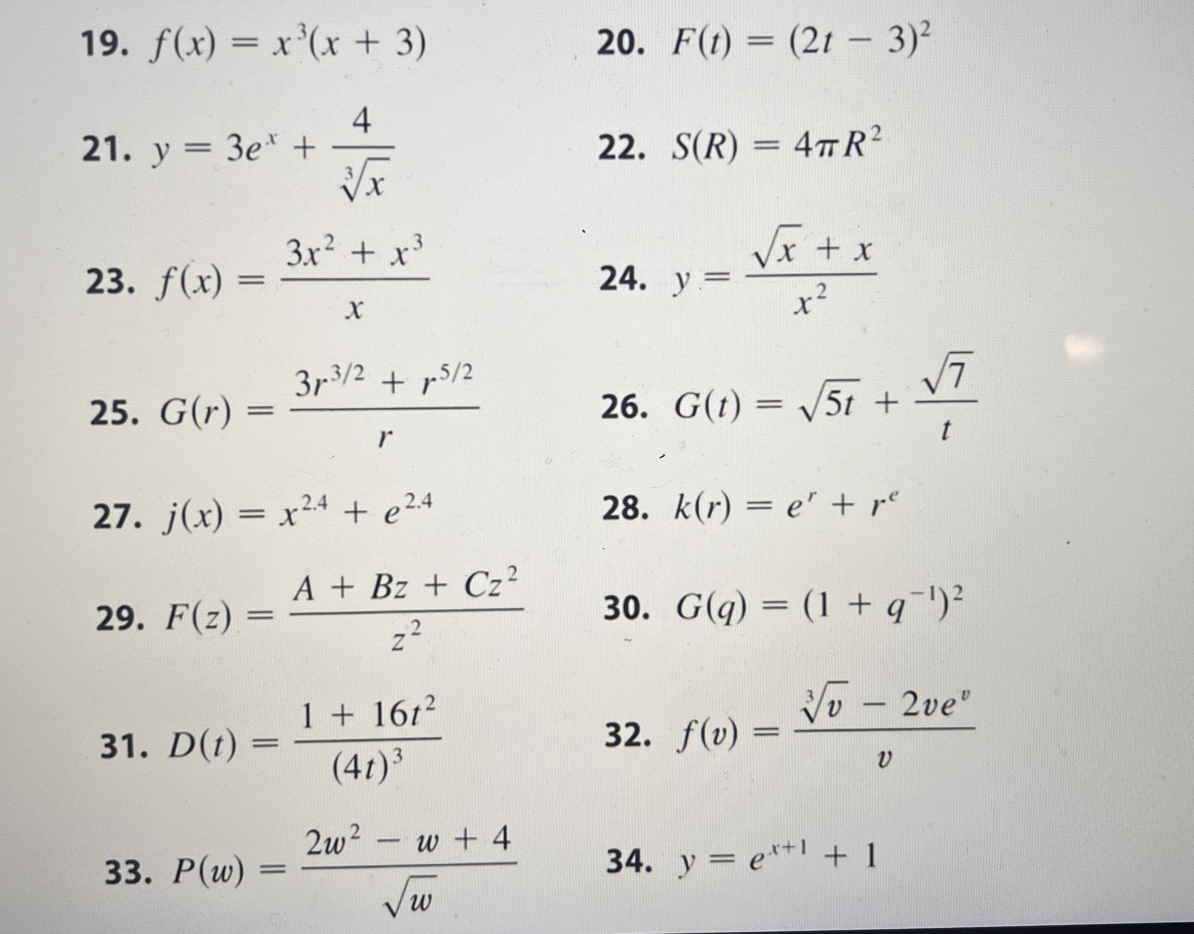
Question: Differentiate the function 19. f (x) = x3(x + 3) 20. F(t) = (21 - 3)2 21. y = 3e* + 4 Vx 22. S(R)

Differentiate the function

19. f (x) = x3(x + 3) 20. F(t) = (21 - 3)2 21. y = 3e* + 4 Vx 22. S(R) = 4TR2 23. f(x) = 3x2 + x3 24. y = Vx + x X x 2 25. G(r) = 3r/2 + 5/2 26. G(t) = 151+ V7 r 27. j(x) = x24 + @24 28. k(r) = e" + re 29. F ( z ) = A + Bz + Cz 30. G(q) = (1 + 9-1)2 Z 1 + 1612 31. D(t) = 32. f(v) _ Vo - 2ve ( 41) 3 U 2w2 - w + 4 33. P(w) = 34. y = ertl + 1 Vw
Step by Step Solution
There are 3 Steps involved in it
Get step-by-step solutions from verified subject matter experts
