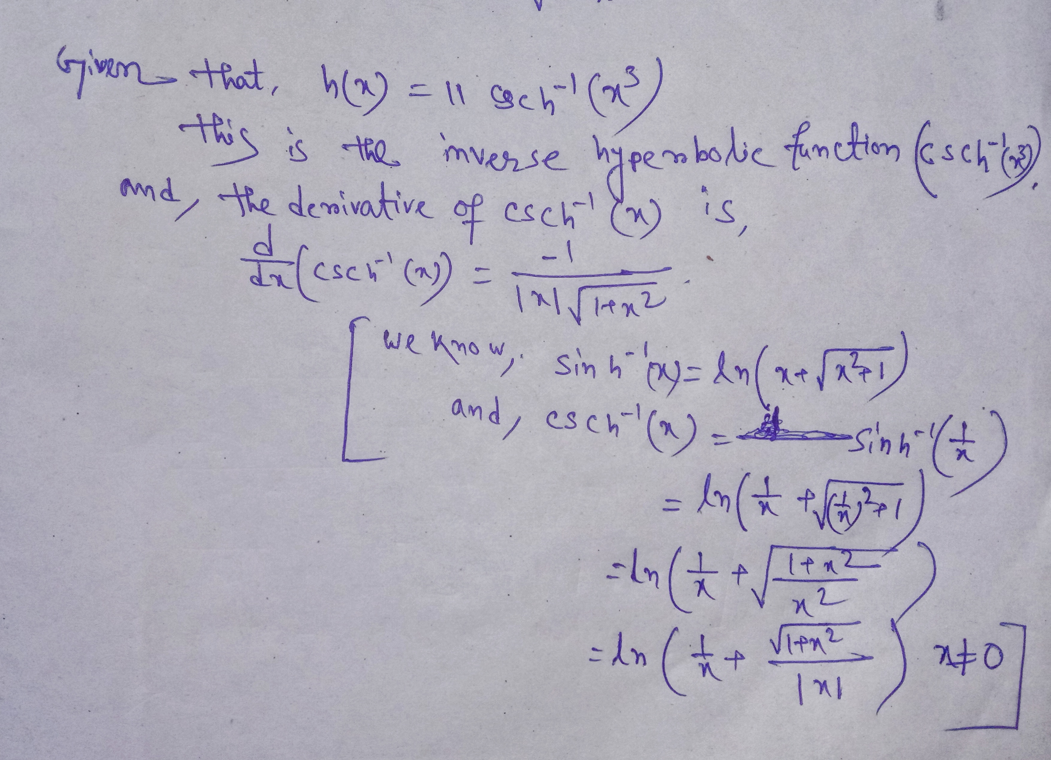
Question: Differentiate the function. h ( x ) = 1 1 c s c h 1 ( x 3 ) Given that, h( x) = 11
Differentiate the function.
h(x)=11csch1(x3)


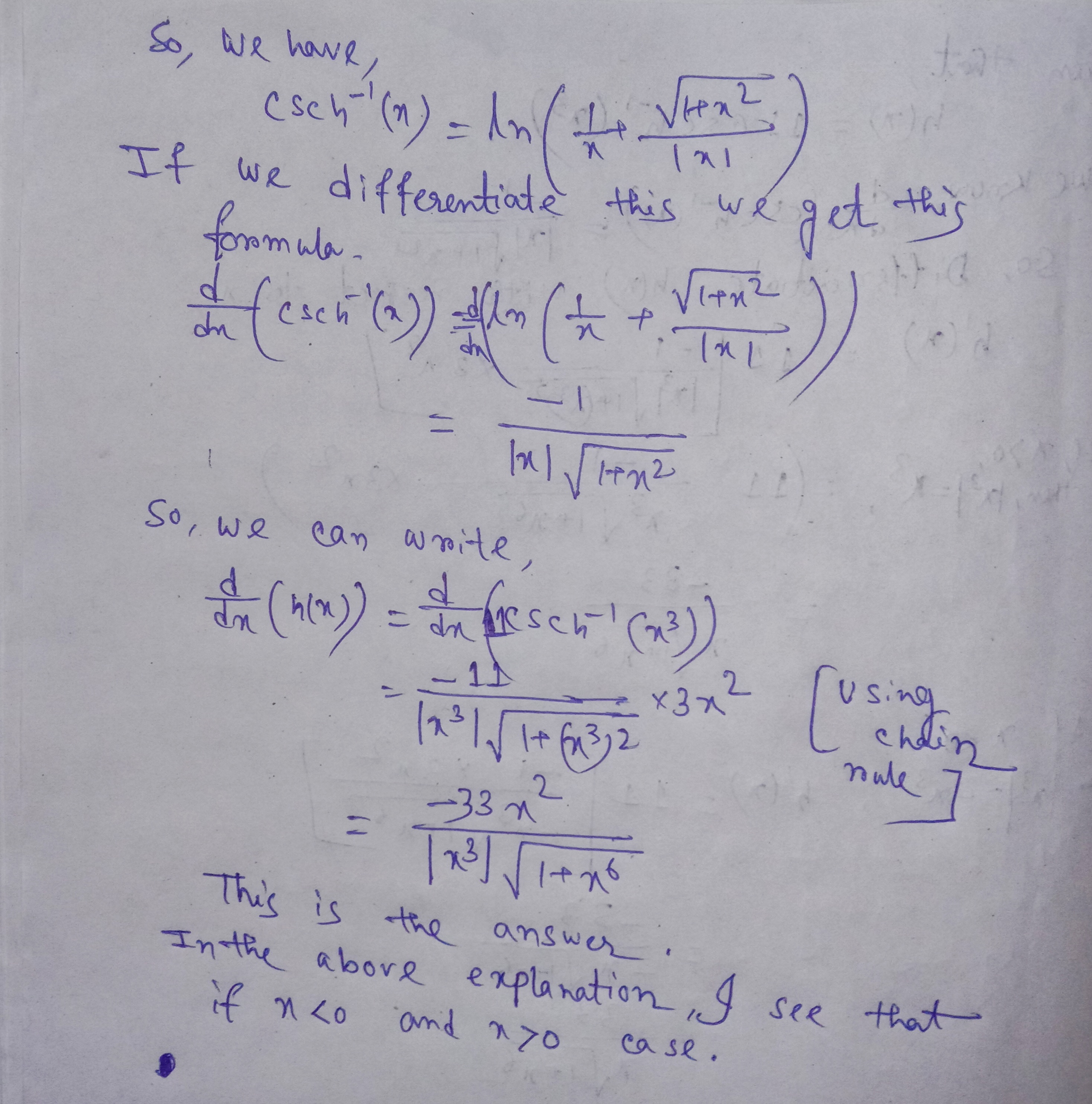
Given that, h( x) = 11 cech- (2) This is the inverse hyperbolic function ( csch- () and, the derivative of each ( ") is, In( (sch ( m) ) = we know , sinh my = In( x+ 5x271 and, each ( 1 ) =sinh-1 - In n 2 Vian 2So, we have, (sch ( n ) = In If we differentiate this we get this formula 102 VienZ in (csch" ( a ) ) =dim So, we can write, In ( him ) = Incsch' (x 3 ) ) 11 x 3 7 2 using = 123 1 51 + ( 2 3 , 2 chain rule - 33 x 2 This is the answer. In the above explanation, I see that if no and nto case
Step by Step Solution
There are 3 Steps involved in it
Get step-by-step solutions from verified subject matter experts
