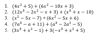
Question: Directions: Complete the table below by stating the type of the given polynomials as a monomial, binomial, or trinomial and indicating its degree of polynomial
Directions: Complete the table below by stating the type of the given polynomials as a monomial, binomial, or trinomial and indicating its degree of polynomial and the degree of the term.





\f\fGiven Type of Polynomial Degree of polynomial Degree of the term 1. 5xy' 2. 7x3 - 4x2 + 9 3. 12y4+ 23y 4. -8x6 5. 3x2 - 4x - 4 .i more than n i> n 4.10 times the difference of X and 5 S. Thrice the sum of X and 2 \f
Step by Step Solution
There are 3 Steps involved in it
1 Expert Approved Answer
Step: 1 Unlock
Question Has Been Solved by an Expert!
Get step-by-step solutions from verified subject matter experts
Step: 2 Unlock
Step: 3 Unlock
