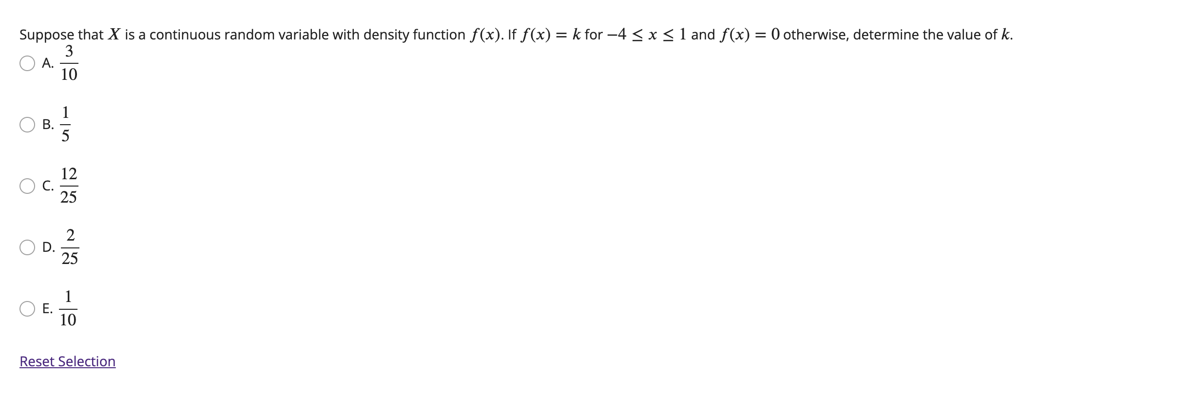
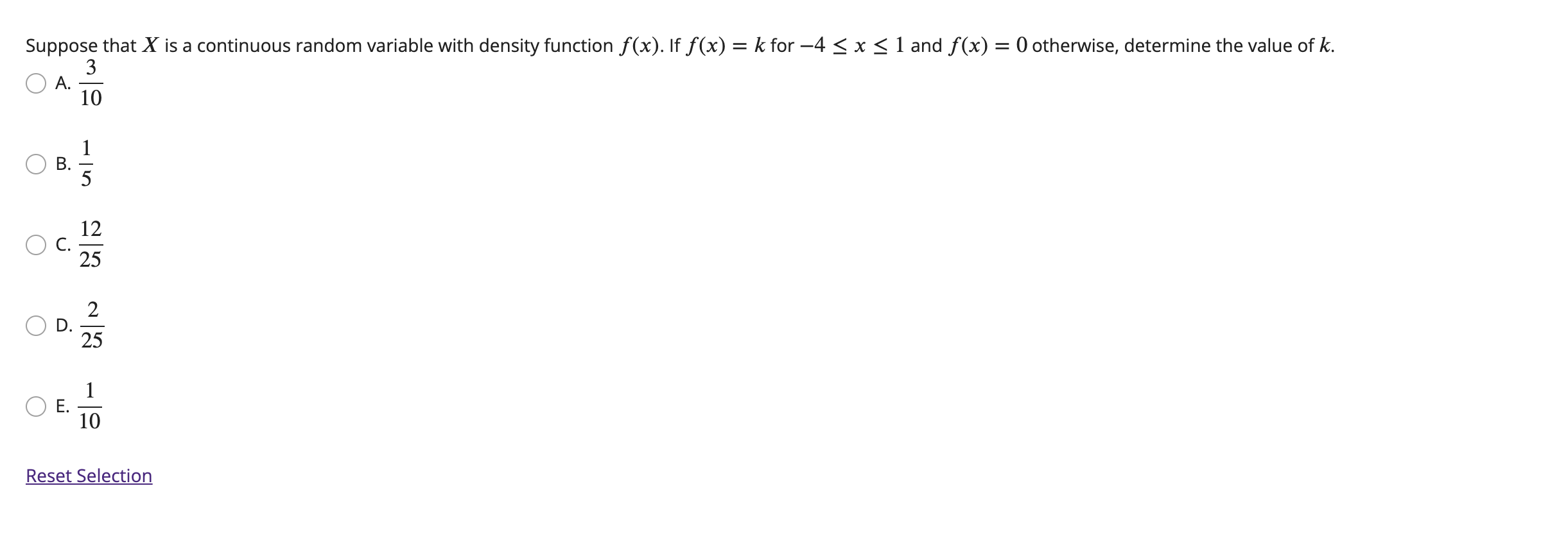
Question: Discrete random variable X has possible values 4, 8, 12, 16 and 20. Continuous random variable Y is known to be a good approximation for



![-2.12]. O A. 0.9826 O B. 0.9783 O C. 0.9830 O D.](https://s3.amazonaws.com/si.experts.images/answers/2024/06/666b1b5948c97_385666b1b5920dea.jpg)














Discrete random variable X has possible values 4, 8, 12, 16 and 20. Continuous random variable Y is known to be a good approximation for X. Which one of the following is approximated by Pr[6 -2.12]. O A. 0.9826 O B. 0.9783 O C. 0.9830 O D. 0.9868 O E. 0.9821 Reset Selection The Cumulative Distribution Table for the Standard Normal Random Variable Z Pr[Z
Step by Step Solution
There are 3 Steps involved in it
Get step-by-step solutions from verified subject matter experts
