Question: Disregard the question numbers on each image. Use the question number above each image. 1. f2 Sketch the graph, using limits, of y = 3.x












Disregard the question numbers on each image. Use the question number above each image. 1.












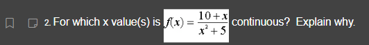
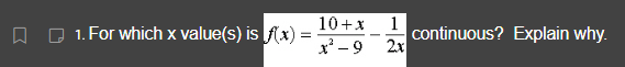
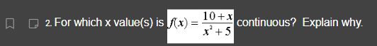
\f2 Sketch the graph, using limits, of y = 3.x (x - 4) (x+2) Be sure to show all work and your coordinate grid must be labeled.7. Evaluate lim In(x+1) O O Does Not Exist O 12 O\f10+ x 1 Q 1. For which x value(s) is f( x) = continuous? Explain why. x' - 9 2x4. Find limx cos by using the Squeeze Theorem. Be sure to show all work. X-0
Step by Step Solution
There are 3 Steps involved in it
1 Expert Approved Answer
Step: 1 Unlock
Question Has Been Solved by an Expert!
Get step-by-step solutions from verified subject matter experts
Step: 2 Unlock
Step: 3 Unlock
