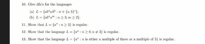
Question: do all the four questions or i will report . please write with neat handwriting. 10. Give dfa's for the languages (a) L = {ab

do all the four questions or i will report . please write with neat handwriting.
10. Give dfa's for the languages (a) L = {ab wb : we {a,b}"}. (1) L = = {ab",":n> 3.m>2}. 11. Show that I = {": > 3) is regular. 12. Show that the language L= {a": n > 0,n3) is regular. 13. Show that the language L = {a": n is either a multiple of three or a multiple of 5) is regular. a
Step by Step Solution
There are 3 Steps involved in it
Get step-by-step solutions from verified subject matter experts
