Question: Do it on paper! Do it on paper!Do it on paper!Do it on paper!Do it on paper!Do it on paper!Do it on paper!Do it on



Do it on paper! Do it on paper!Do it on paper!Do it on paper!Do it on paper!Do it on paper!Do it on paper!Do it on paper!Do it on paper!Do it on paper!Do it on paper!Do it on paper!Do it on paper!Do it on paper!Do it on paper!Do it on paper!Do it on paper!Do it on paper!



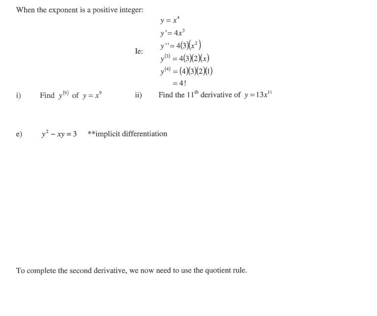
Review of Prerequisite Skills for Unit # 3 (Derivatives 8: their Applications} Graphing polynomial and simple rational functions Working with circles in standard position Solving polynomial equations Finding the equations of tangents and normals Using the common formulas: circle: circumference and area Cylinder: SA 3: Vol. Homework: 1:. l I e # l 8 , 9 omit d {do without technology) Higher Order Derivatives, Velocity and Acceleration Consider a down hill skier. What is the excitement of the sport? The position, s of a skier is described as a function of time, t. Therefore. s = ftt}. Recall that the change in position, or velocity, v, at an},r time. t is the ie: vtt] 2 Note: speed is the absolute value of v0}. There is no if v[t} :a- i} we say that the object is moving to the of the origin. [f v[t} a: I] we t-ia'j.r that the object is moving to the __ of the origin. It v[t} = it than the object But, the velocity changes as well. The rate of change in the velocity, is the derivative of the 2 a(t} = .Also represented hp g . This is called the t' Eg.l: Find the second derivative of each of the following expressions. a] y=x'l2.r3 h} Av=irfr c} y=x , a. which is the When the exponent is a positive integer: y= x y'= 4x] Ie: y" = 4(3 )(x2 ) y(3) = 4(3)(2)(x) y(4) = (4)(3)(2)(1) =4! i) Find y") of y = x" ii) Find the 1 1" derivative of y = 13x" e) yz - xy =3 **implicit differentiation To complete the second derivative, we now need to use the quotient rule.Eg.2: A particle moves along a straight line with the equation of motion s(t) = 3 -15 +631 -49, 120 . a) Find the velocity and acceleration functions at time t. b) Find the intervals of time in which the object is moving in a positive direction and a negative direction. le: find the turning point, also known as the critical point. V(t) = 0 c) Determine when the particle is speeding up (accelerating) or slowing down (decelerating). Solution: a) b) v(t) = 0 is at rest when t=. and t = a(t) = 0 is a constant velocity when t = t= sec. It= sec. t= sec. t= sec. v(t) a(t) v(t)a(t) V(t) > 0 when t 7 (moving to the right, away from the origin) V(t) 0 when t > 5 a(t) 7 Therefore the object is decelerating when t
Step by Step Solution
There are 3 Steps involved in it
Get step-by-step solutions from verified subject matter experts
