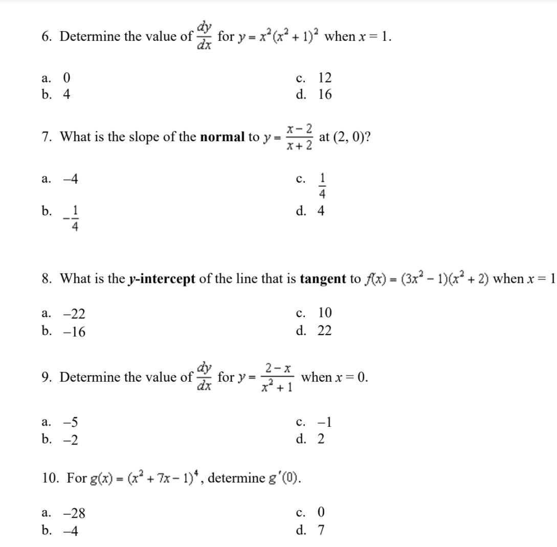
Question: Do not explain just give answer. Finish quick please. 6. Determine the value of - for y = x(x2 + 1)? when x = 1.

Do not explain just give answer. Finish quick please.

Do not explain just give answer. Finish quick please. 6. Determine the

6. Determine the value of - for y = x(x2 + 1)? when x = 1. a. 0 c. 12 b. 4 d. 16 7. What is the slope of the normal to y = = x - 2 x+ 2 at (2, 0)? a. -4 C. b. d. 8. What is the y-intercept of the line that is tangent to f(x) = (3x2 - 1)(x2 + 2) when x = 1 a. -22 c. 10 b. -16 d. 22 9. Determine the value of - for y = 2- X dx x2 + 1 when x = 0. a. -5 -1 -2 d. 2 10. For g(x) = (x3 + 7x-1)* , determine g'(0). a. -28 C. 0 b. -4 d. 7

Step by Step Solution

There are 3 Steps involved in it

1 Expert Approved Answer
Step: 1 Unlock blur-text-image
Question Has Been Solved by an Expert!

Get step-by-step solutions from verified subject matter experts

Step: 2 Unlock
Step: 3 Unlock

Students Have Also Explored These Related Mathematics Questions!