Question: Do the adjustment ( the first two picture) & completed workswheet which includes adjusted trial balance and distribution of account balances to income statement, retained




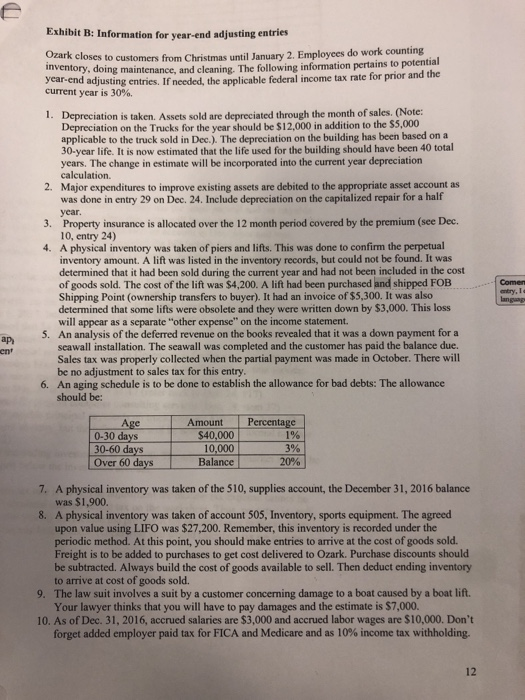
Exhibit B: Information for year-end adjusting entries Ozark closes to ark closes to customers from Christmas until January 2. Employees do work counting inventory, doing maintenance, and cleaning. The following information pertains to potential year end adjusting entries. If needed, the applicable federal income tax rate for prior and the current year is 30%. 1. Depreciation is taken Assets sold are depreciated through the month of sales. (Note: Depreciation on the Trucks for the year should be $12,000 in addition to the $5,000 applicable to the truck sold in Dec.). The depreciation on the building has been based on a 30-year life. It is now estimated that the life used for the building should have been 40 total years. The change in estimate will be incorporated into the current year depreciation calculation 2. Major expenditures to improve existing assets are debited to the appropriate asset account as was done in entry 29 on Dec. 24. Include depreciation on the capitalized repair for a half year. 3. Property insurance is allocated over the 12 month period covered by the premium (see Dec. 10, entry 24) 4. A physical inventory was taken of piers and lifts. This was done to confirm the perpetual inventory amount. A lift was listed in the inventory records, but could not be found. It was determined that it had been sold during the current year and had not been included in the cost of goods sold. The cost of the lift was $4,200. A lift had been purchased and shipped FOB Shipping Point (ownership transfers to buyer). It had an invoice of $5,300. It was also determined that some lifts were obsolete and they were written down by $3,000. This loss will appear as a separate "other expense" on the income statement 5. An analysis of the deferred revenue on the books revealed that it was a down payment for a seawall installation. The seawall was completed and the customer has paid the balance due. Sales tax was properly collected when the partial payment was made in October. There will be no adjustment to sales tax for this entry. 6. An aging schedule is to be done to establish the allowance for bad debts: The allowance should be: ap ent Age 0-30 days 30-60 days Over 60 days Amount Percentage $40,0001 % 10,000 3% Balance 20% 7. A physical inventory was taken of the 510, supplies account, the December 31, 2016 balance was $1,900. 8. A physical inventory was taken of account 505, Inventory, sports equipment. The agreed upon value using LIFO was $27,200. Remember, this inventory is recorded under the periodic method. At this point, you should make entries to arrive at the cost of goods sold. Freight is to be added to purchases to get cost delivered to Ozark, Purchase discounts should be subtracted. Always build the cost of goods available to sell. Then deduct ending inventory to arrive at cost of goods sold. 9. The law suit involves a suit by a customer concerning damage to a boat caused by a boat lift. Your lawyer thinks that you will have to pay damages and the estimate is $7,000. 10. As of Dec. 31, 2016, accrued salaries are $3,000 and accrued labor wages are $10,000. Don't forget added employer paid tax for FICA and Medicare and as 10% income tax withholding. o Rather than creating new accrual accounts, you may use the usual payroll and tax payable accounts. This will not create a problem since this entry will be reversed on January 1, 2017 11. Dock lumber in the amount of $700 was purchased on account in December and was returned for a credit. The lumber company canceled the bill (which had not yet been paid) 12. Advertising in the amount of $400 was paid in December, but the ad will not appear until February 2017 13. The estimated value of the tools remaining at 2016 year-end is $6,100. The appraisal method of depreciation is used (you may want to "google" that). 14. Interest is paid quarterly on the $120,000, 6% note payable (under the line of credit). The note is due on May 1, 2017. Interest was last paid on November 1. 15. It has been determined that $4,000 property taxes paid in 2016 were applicable to 2015, not 2016. The tax rate applicable to 2015 was 30%. 16. The sports equipment rental revenue collected in December is for the use of equipment during December through March and it should be pro-rated equally over the four months. The pro-ration is the same, no matter when the rental contract is executed. 17. The exchange rate on Dec. 31 is One Euro = $1.17 (refer back to Dec. 24, #17) 18. An adjustment is need for prepaid computer consulting services (Dec. 24, item 37) 19. Installment contracts payable principal payments on truck loan are $10,035 in 2017. These amounts do not require an entry, but the information will be needed for the formal balance sheet (Requirement 3). 20. The market value of the trading investments is $14,100. The adjustment to market should be a valuation account just below the investment account. "T" The applicable income tax rate is 30%. The adjustment for income tax expense cannot be made until you have calculated income before tax on the worksheet. Thus, no entry is made at this point. Be sure that you do not include the provision for income taxes in the amounts summed to calculate income before taxes. (Otherwise you would calculate tax on income that is already net of tax.) mua con papers Uradjusted 12/31/16 Trial Balance Number Adjustments Debit Adjusted Trial Balance Debit Income State Dobi Credit 401 Trial Balance Debit Credit 29254 204 992 72.075 7000 12 000 Cash-checking Cash-money market account Accounts receivable Allowance for bad debts Rebate receivable Trading Investments Adjustment to fair value Inventory, piers and lifts Inventory, dock parts Inventory, sports equipment Supplies Pre-paid expense Security deposit 127.000 2.260 25,000 1.800 1.000 2,000 TTTTTTT 120,000 450,000 150 Land Buildings Accumulated depreciation - buildings Barge Accumulated depreciation - barge Trucks Accumulated depreciation - Trucks 72.000 III 26.000 110.000 26,000 Tools IIIIIIIIIIIIIIIIIIIIIIIIIIIIIIIIIIII TITUTI Customer deposits Accounts payable 4,000 75.900 Wagos payable FICA and Medicare Payable Payroll tax withholdings 1111111 TI State sales tax payable Federal income taxes payable 17 1.200 6071 608 6091 60921 610 611 612 613 700 701 4,000 4.800 120,000 269.000 40.000 Estimated liabilities for losses Accrued interest payable (year end adjusting Deferred revenue Gift certificate liability Note payable, Line of credit, 6% annual rate Mortgage payable, 6% annual rate Installment contracts payable Deferred sport rental income Common stock, $1 par Paid-in excess of par Retained earings Dividends declared Prior period adjustment Pier and lift sales Pier and lift installation labor Custom dock sales Seawall installations Sports equipment sales Sports equipment rentals Permit fee revenue 10,000 190.000 158.791 948.000 168 800 293.000 201.500 108,500 41,500 4,800 1,900 3.300 Interest revenue Gainvloss on sale of fixed assets Unrealized gain/loss on investments Cost of sales - Piers and lifts Dock parts costs Seawall costs Sports Eq. cost of goods sold (year end only) 109 1101 111 201 203 204 205 672,000 187,840 105,300 4,100 L Sports goods purchases purchases Purchase discounts taken Salaries expense Labor expense Payroll tax expense Utilities expense Insurance expense Maintenance expense Fuel expense Property tax expense Advertising expense Supplies expense Professional fees expense Freight in Interest expense Bad debt expense Depreciation expense - building Depreciation expense - barge Depreciation expense - trucks Depreciation expense - tools Inventory write-down Exchange gainvloss Estimated losses Income tax expense Totals Net income before tax Provision for tax Net income Retained earnings, Dec. 31, 2016 206 87.700 210 311 106,000 3121224.000 3131 25,246 314 20,400 3151 40,200 316 9.900 3171 6,300 318| 12,000 319 38.400 320 12,900 321 9,784 3225,600 323 28.190 324 5,473 331 - 3331 - 335 5,000 337- 340 - 341 350 - 399 2.857,314 Balance 2,857,314 Exhibit B: Information for year-end adjusting entries Ozark closes to ark closes to customers from Christmas until January 2. Employees do work counting inventory, doing maintenance, and cleaning. The following information pertains to potential year end adjusting entries. If needed, the applicable federal income tax rate for prior and the current year is 30%. 1. Depreciation is taken Assets sold are depreciated through the month of sales. (Note: Depreciation on the Trucks for the year should be $12,000 in addition to the $5,000 applicable to the truck sold in Dec.). The depreciation on the building has been based on a 30-year life. It is now estimated that the life used for the building should have been 40 total years. The change in estimate will be incorporated into the current year depreciation calculation 2. Major expenditures to improve existing assets are debited to the appropriate asset account as was done in entry 29 on Dec. 24. Include depreciation on the capitalized repair for a half year. 3. Property insurance is allocated over the 12 month period covered by the premium (see Dec. 10, entry 24) 4. A physical inventory was taken of piers and lifts. This was done to confirm the perpetual inventory amount. A lift was listed in the inventory records, but could not be found. It was determined that it had been sold during the current year and had not been included in the cost of goods sold. The cost of the lift was $4,200. A lift had been purchased and shipped FOB Shipping Point (ownership transfers to buyer). It had an invoice of $5,300. It was also determined that some lifts were obsolete and they were written down by $3,000. This loss will appear as a separate "other expense" on the income statement 5. An analysis of the deferred revenue on the books revealed that it was a down payment for a seawall installation. The seawall was completed and the customer has paid the balance due. Sales tax was properly collected when the partial payment was made in October. There will be no adjustment to sales tax for this entry. 6. An aging schedule is to be done to establish the allowance for bad debts: The allowance should be: ap ent Age 0-30 days 30-60 days Over 60 days Amount Percentage $40,0001 % 10,000 3% Balance 20% 7. A physical inventory was taken of the 510, supplies account, the December 31, 2016 balance was $1,900. 8. A physical inventory was taken of account 505, Inventory, sports equipment. The agreed upon value using LIFO was $27,200. Remember, this inventory is recorded under the periodic method. At this point, you should make entries to arrive at the cost of goods sold. Freight is to be added to purchases to get cost delivered to Ozark, Purchase discounts should be subtracted. Always build the cost of goods available to sell. Then deduct ending inventory to arrive at cost of goods sold. 9. The law suit involves a suit by a customer concerning damage to a boat caused by a boat lift. Your lawyer thinks that you will have to pay damages and the estimate is $7,000. 10. As of Dec. 31, 2016, accrued salaries are $3,000 and accrued labor wages are $10,000. Don't forget added employer paid tax for FICA and Medicare and as 10% income tax withholding. o Rather than creating new accrual accounts, you may use the usual payroll and tax payable accounts. This will not create a problem since this entry will be reversed on January 1, 2017 11. Dock lumber in the amount of $700 was purchased on account in December and was returned for a credit. The lumber company canceled the bill (which had not yet been paid) 12. Advertising in the amount of $400 was paid in December, but the ad will not appear until February 2017 13. The estimated value of the tools remaining at 2016 year-end is $6,100. The appraisal method of depreciation is used (you may want to "google" that). 14. Interest is paid quarterly on the $120,000, 6% note payable (under the line of credit). The note is due on May 1, 2017. Interest was last paid on November 1. 15. It has been determined that $4,000 property taxes paid in 2016 were applicable to 2015, not 2016. The tax rate applicable to 2015 was 30%. 16. The sports equipment rental revenue collected in December is for the use of equipment during December through March and it should be pro-rated equally over the four months. The pro-ration is the same, no matter when the rental contract is executed. 17. The exchange rate on Dec. 31 is One Euro = $1.17 (refer back to Dec. 24, #17) 18. An adjustment is need for prepaid computer consulting services (Dec. 24, item 37) 19. Installment contracts payable principal payments on truck loan are $10,035 in 2017. These amounts do not require an entry, but the information will be needed for the formal balance sheet (Requirement 3). 20. The market value of the trading investments is $14,100. The adjustment to market should be a valuation account just below the investment account. "T" The applicable income tax rate is 30%. The adjustment for income tax expense cannot be made until you have calculated income before tax on the worksheet. Thus, no entry is made at this point. Be sure that you do not include the provision for income taxes in the amounts summed to calculate income before taxes. (Otherwise you would calculate tax on income that is already net of tax.) mua con papers Uradjusted 12/31/16 Trial Balance Number Adjustments Debit Adjusted Trial Balance Debit Income State Dobi Credit 401 Trial Balance Debit Credit 29254 204 992 72.075 7000 12 000 Cash-checking Cash-money market account Accounts receivable Allowance for bad debts Rebate receivable Trading Investments Adjustment to fair value Inventory, piers and lifts Inventory, dock parts Inventory, sports equipment Supplies Pre-paid expense Security deposit 127.000 2.260 25,000 1.800 1.000 2,000 TTTTTTT 120,000 450,000 150 Land Buildings Accumulated depreciation - buildings Barge Accumulated depreciation - barge Trucks Accumulated depreciation - Trucks 72.000 III 26.000 110.000 26,000 Tools IIIIIIIIIIIIIIIIIIIIIIIIIIIIIIIIIIII TITUTI Customer deposits Accounts payable 4,000 75.900 Wagos payable FICA and Medicare Payable Payroll tax withholdings 1111111 TI State sales tax payable Federal income taxes payable 17 1.200 6071 608 6091 60921 610 611 612 613 700 701 4,000 4.800 120,000 269.000 40.000 Estimated liabilities for losses Accrued interest payable (year end adjusting Deferred revenue Gift certificate liability Note payable, Line of credit, 6% annual rate Mortgage payable, 6% annual rate Installment contracts payable Deferred sport rental income Common stock, $1 par Paid-in excess of par Retained earings Dividends declared Prior period adjustment Pier and lift sales Pier and lift installation labor Custom dock sales Seawall installations Sports equipment sales Sports equipment rentals Permit fee revenue 10,000 190.000 158.791 948.000 168 800 293.000 201.500 108,500 41,500 4,800 1,900 3.300 Interest revenue Gainvloss on sale of fixed assets Unrealized gain/loss on investments Cost of sales - Piers and lifts Dock parts costs Seawall costs Sports Eq. cost of goods sold (year end only) 109 1101 111 201 203 204 205 672,000 187,840 105,300 4,100 L Sports goods purchases purchases Purchase discounts taken Salaries expense Labor expense Payroll tax expense Utilities expense Insurance expense Maintenance expense Fuel expense Property tax expense Advertising expense Supplies expense Professional fees expense Freight in Interest expense Bad debt expense Depreciation expense - building Depreciation expense - barge Depreciation expense - trucks Depreciation expense - tools Inventory write-down Exchange gainvloss Estimated losses Income tax expense Totals Net income before tax Provision for tax Net income Retained earnings, Dec. 31, 2016 206 87.700 210 311 106,000 3121224.000 3131 25,246 314 20,400 3151 40,200 316 9.900 3171 6,300 318| 12,000 319 38.400 320 12,900 321 9,784 3225,600 323 28.190 324 5,473 331 - 3331 - 335 5,000 337- 340 - 341 350 - 399 2.857,314 Balance 2,857,314
Step by Step Solution
There are 3 Steps involved in it
Get step-by-step solutions from verified subject matter experts
