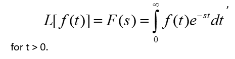
Question: Do the Laplace transform for : a) b) (t) = 1 cos (cot) f(t) Asin(t+0) fort > 0. L[ (t)] = F(s) = (t)e

Do the Laplace transform for : a) b) (t) = 1 cos (cot) f(t) Asin(t+0) fort > 0. L[ (t)] = F(s) = (t)e dt 0
Step by Step Solution
There are 3 Steps involved in it
Get step-by-step solutions from verified subject matter experts
