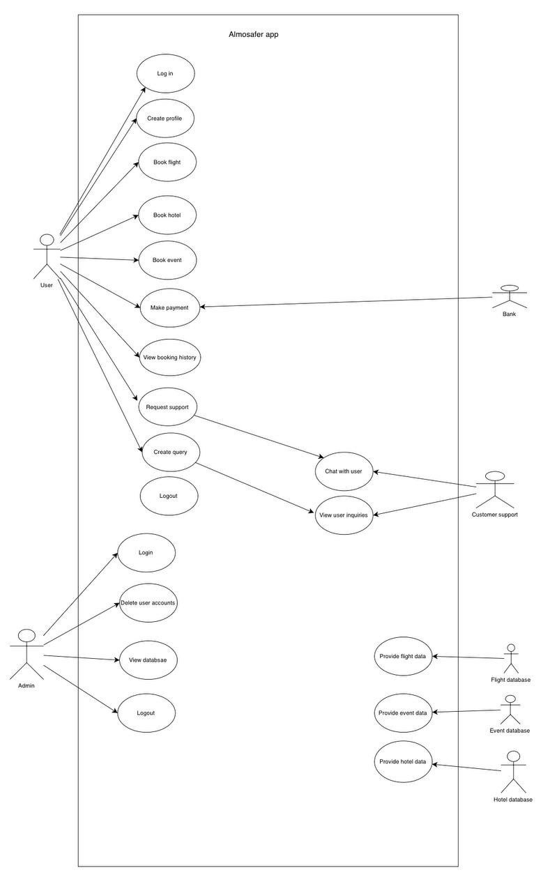
Question: Draw sequence diagram . . . . for create profile i need you to design plz
Draw sequence diagram for create profile i need you to design plz
Step by Step Solution
There are 3 Steps involved in it
1 Expert Approved Answer
Step: 1 Unlock
Question Has Been Solved by an Expert!
Get step-by-step solutions from verified subject matter experts
Step: 2 Unlock
Step: 3 Unlock
