Question: (Draw the appropriate diagrams and step-by-step process for each question, if need be) 1. Dropping Blocks Two blocks are released from the top of a
(Draw the appropriate diagrams and step-by-step process for each question, if need be)
1. Dropping Blocks
Two blocks are released from the top of a building and fall through the same height. Block A falls straight down through the air, while Block B slides down an icy ramp. If all friction and air resistance can be ignored, which block is moving the fastest immediately before it hits the ground? Make sure to explain and/or show work.
2. Burning a Log
A log is thrown into the fire and is allowed to combust completely. Before thrown into the fire the log had 15 MJ of chemical energy stored in its bonds. Assuming all of this energy is released, 70% goes to thermal energy while 20% goes into producing light and the rest goes into producing sound.
a. Define a non-isolated system for this scenario and describe why it is not isolated.
b. Using this non-isolated system, write a Work-Energy Theorem statement for this scenario taking into account all the different types of energies involved.
c. Define an isolated system for this scenario and described why it is isolated.
d. Using this isolated system, write a Work-Energy Theorem statement for this scenario taking into account all the different types of energies involved.
3. Predicted Landing Points
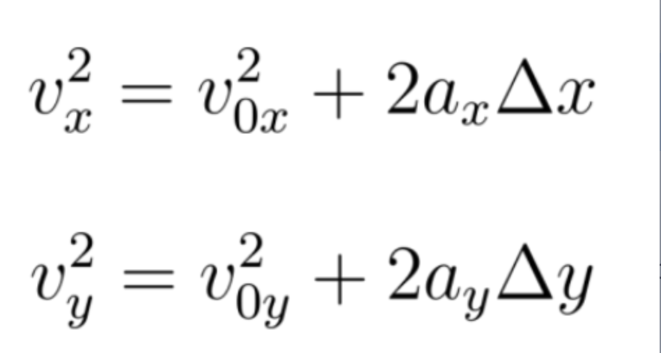
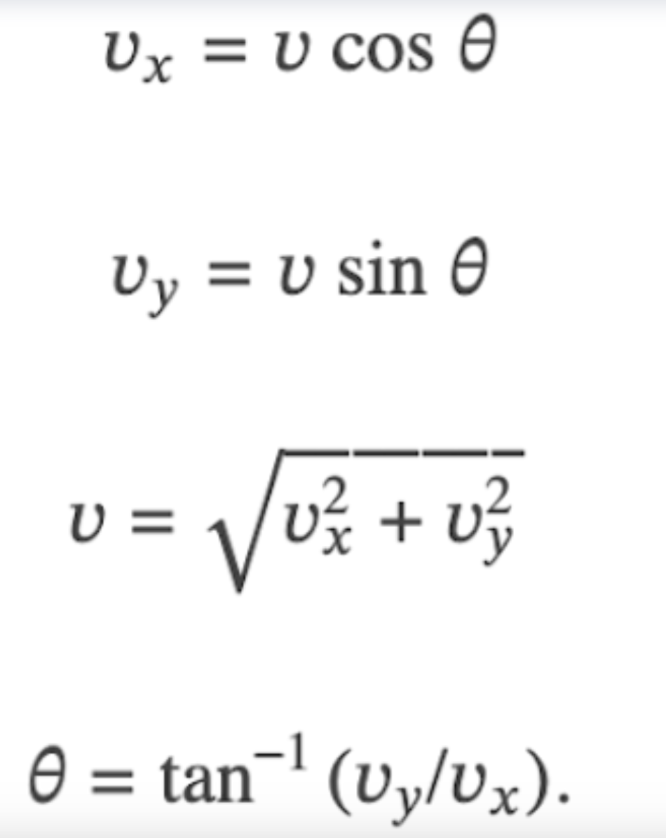
In the system pictured below, there is a mass connected to a string that is pulled back until it is h1 = 10.0 cm above the table. The mass is then released and allowed to freely swing. At the bottom of the arc is a sharp blade that disconnects the mass from the string. After the mass is disconnected, it flies off the table in projectile motion and lands on a at target that is a horizontal distance of ?x away. The height of the table is h2 = 1.25 m. Calculate the distance ?x. Assume that air resistance is negligible and that the mass moves horizontally immediately after it is cut from the string.
















h1 Ax h2\f2 8 N = Vox + 2ax Ax NO 2 N = Vou + 2ay AyUx E U COS Uv = U sin 0 U = UX + 03 0 = tan (vy/Ux).
Step by Step Solution
There are 3 Steps involved in it
Get step-by-step solutions from verified subject matter experts
