Question: du For 13: = Arcsin - + 6, a is a constant Vaz - 12du 1 LL For E a2 + 12 - Arctan -+








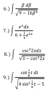
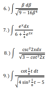
du For 13: = Arcsin - + 6, a is a constant Vaz - 12du 1 LL For E a2 + 12 - Arctan -+ C a a\f6 . ) B dB 9-1684 exx 7 . ) 6+ -e2x csc 2xdx 8.) V3 - cot?2x cot -t dt 9 . ) 4 sin?-t - 5
Step by Step Solution
There are 3 Steps involved in it
Get step-by-step solutions from verified subject matter experts
