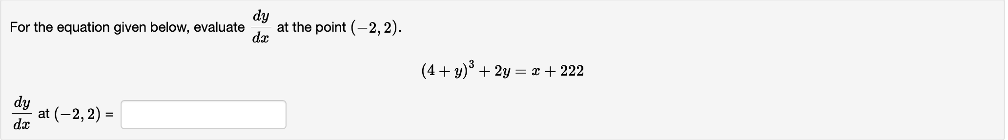
Question: dy For the equation given below, evaluate at the point ( -2, 2). da (4 + y)+ 2y = 2+222 dy at (-2, 2) =


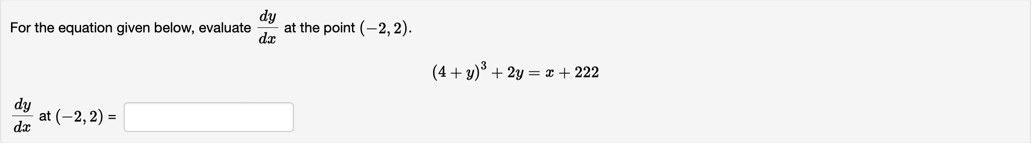
dy For the equation given below, evaluate at the point ( -2, 2). da (4 + y)+ 2y = 2+222 dy at (-2, 2) = dx
Step by Step Solution
There are 3 Steps involved in it
Get step-by-step solutions from verified subject matter experts
