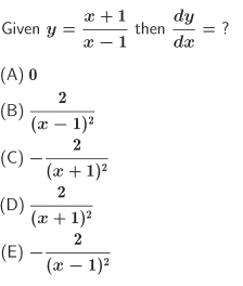
Question: dy Given 1 = then ? r-1 (A) 0 2 B) (Ex - 1)2 2 (ac + 1)3 2 (D) (ar + 1)2 2 (E)




dy Given 1 = then ? r-1 (A) 0 2 B) (Ex - 1)2 2 (ac + 1)3 2 (D) (ar + 1)2 2 (E) (ac - 1)2
Step by Step Solution
There are 3 Steps involved in it
1 Expert Approved Answer
Step: 1 Unlock
Question Has Been Solved by an Expert!
Get step-by-step solutions from verified subject matter experts
Step: 2 Unlock
Step: 3 Unlock
