Question: Dynamic programming allows you to break a large problem into multiple subproblems. Each of these subproblems must be solved, and the solution must be stored

Dynamic programming allows you to break a large problem into multiple subproblems. Each of these subproblems must be solved, and the solution must be stored as a memory-based solution.
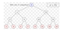
Using Java or C++ solve the following binary search algorithm using dynamic programming (Adapted from Esquivalience, 2018):
To solve this problem, complete the following tasks:
- Create a binary search tree using a data structure.
- Insert the node values as described in the given image.
- Use dynamic programming to implement the binary search tree.
You must also complete the following activities:
- Break the tree into a number of subtrees.
- Provide a dynamic programming function to calculate the minimum cost of a binary tree.
14 www | twitll|s lwis , | = 15 | . | 14 www | twitll|s lwis , | = 15 | . |
Step by Step Solution
There are 3 Steps involved in it
Get step-by-step solutions from verified subject matter experts
