Question: ECO202 - Assignment 8.1 Absolute and Comparative Advantage Example problem: Anna can produce either 18 oranges or 9 apples an hour, while Beth can produce
ECO202 - Assignment 8.1
Absolute and Comparative Advantage
Example problem:
Anna can produce either 18 oranges or 9 apples an hour, while Beth can produce either 16 oranges or 4 apples an hour.
Absolute Advantage: Look at who makes more per hour.
- Anna picks more oranges in an hour than Beth; Anna has the absolute advantage in oranges.
- Anna also picks more apples in an hour than Beth; Anna has the absolute advantage in apples.
Comparative Advantage: Look at who has the lowest opportunity cost for each item.
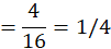
- First, calculate opportunity cost for each person and fruit.
| Anna | Beth | |
|---|---|---|
| Orange | ![]() ![]() ![]() ![]() |
Step by Step Solution
There are 3 Steps involved in it
Get step-by-step solutions from verified subject matter experts




