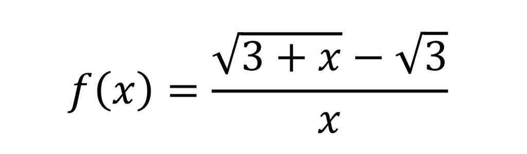
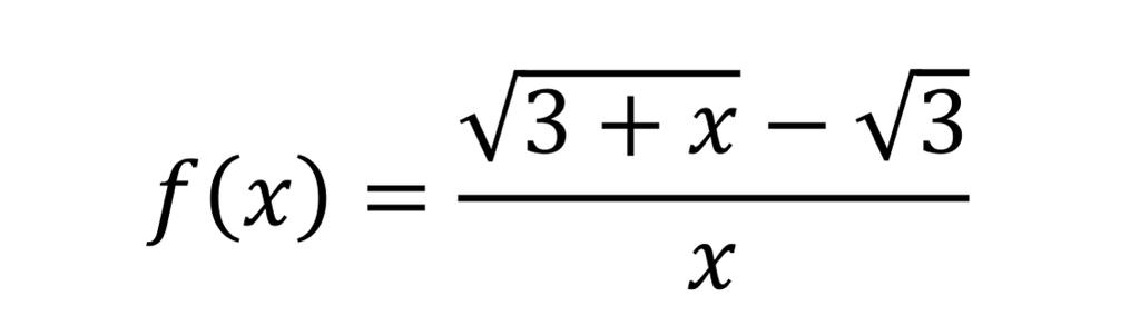
Question: Either the function a) Construct the table of values of f(x) in the vicinity of 0 and guess the value of the limit.

Either the function a) Construct the table of values of f(x) in the vicinity of 0 and guess the value of the limit.

Step by Step Solution
There are 3 Steps involved in it
Get step-by-step solutions from verified subject matter experts
