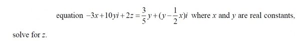
Question: equation -3x+10yi + 2: = - x)i where x and y are real constants. solve for z

equation -3x+10yi + 2: = - x)i where x and y are real constants. solve for z
Step by Step Solution
There are 3 Steps involved in it
Get step-by-step solutions from verified subject matter experts
