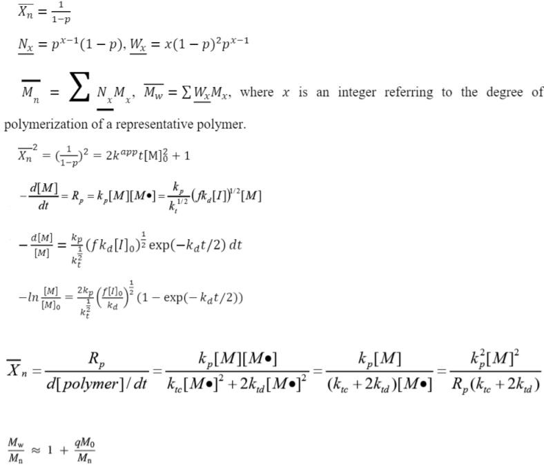
Question: Equations you can use = (2) When bulk styrene ([M]. = 9.6 mol/L, molecular weight 104 g/mol) is heated to 120 C, polymerization occurs due
![Equations you can use = (2) When bulk styrene ([M]. =](https://dsd5zvtm8ll6.cloudfront.net/si.experts.images/questions/2024/09/66f6c029931e0_08166f6c0291c2dc.jpg)

Equations you can use

= (2) When bulk styrene ([M]. = 9.6 mol/L, molecular weight 104 g/mol) is heated to 120 C, polymerization occurs due to thermal initiation in the absence of an added initiator (See Scheme below). It is observed that polystyrene with number average molecular weight Mn = 150,000 g/mol is produced under these conditions at a rate of Rp = 2.0 x 10-4 g/(L *s). (a) Using the information, could you please calculate the initial rate of polymerization if an initiator with a concentration [llo = 0.2 mol/L, ka = 2 x 10-45-1, and efficiency f = 0.6 is added into the bulk styrene at 120 C? (Assuming ke = kte, and kta = 0 in both the thermal-induced polymerization and the bulk polymerization with initiator) Hint: The polymerization rate in the absence of the initiator offers the necessary information required to calculate the rate of free radical polymerization with a finite amount of initiator. The total polymerization rate is thus the sum of the polymerization due to thermal effect and the rate of polymerization due to the radical from the initiator. Note that the scheme given below is only for thermal induced bulk polymerization. Upon adding initiator, the initiator would also induce polymerization following the classical free-radical polymerization with initiation, propagation, and termination. -P M n Xn = 1 / 1 Nx = px-1(1 p), W = x(1 p)?px-1 . N M, Mw = WMx, where x is an integer referring to the degree of polymerization of a representative polymer. xn = (1+x)2 = 2kappt[M]3 + 1 d[M] - -- [M(MOFURYM R, =k,[M][M]= +($_[7]"?[M] CA k = k dt d[M] = kp (fkal?])exp(-kat/2) dt [M] -In [M] [M]. 24 (1 h) (1 - (1 - exp(-kat/2)) ka k? Xn R, kp[M][M] kp[M] k [M]? d[polymer]/dt k,c[M]? + 2k_d[Moj (kr + 2k,d)[M.] R, (ke + 2k,d) kte td MW qM 1 + M. Mo
Step by Step Solution
There are 3 Steps involved in it
Get step-by-step solutions from verified subject matter experts
