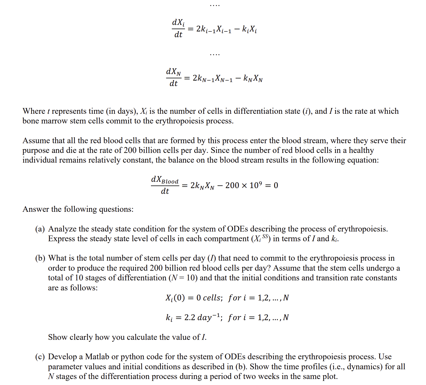
Question: Erythropoiesis is a multi - stage process through which bone marrow stem cells turn into red blood cells. The completion of each stage of differentiation
Erythropoiesis is a multistage process through which bone marrow stem cells turn into red blood cells. The
completion of each stage of differentiation is marked by cell replication, where a cell at differentiation state i
splits at a rate of ki into two daughter cells that are each at differentiation state i The dynamics of this
multistage process for N representative differentiation states can be described as the followingdxidtkx
dXdtkxkX
Where represents time in days is the number of cells in differentiation state i and I is the rate at which
bone marrow stem cells commit to the erythropoiesis process.
Assume that all the red blood cells that are formed by this process enter the blood stream, where they serve their
purpose and die at the rate of billion cells per day. Since the number of red blood cells in a healthy
individual remains relatively constant, the balance on the blood stream results in the following equation:
Answer the following questions:
a Analyze the steady state condition for the system of ODEs describing the process of erythropoiesis.
Express the steady state level of cells in each compartment in terms of I and
b What is the total number of stem cells per day I that need to commit to the erythropoiesis process in
order to produce the required billion red blood cells per day? Assume that the stem cells undergo a
total of stages of differentiation and that the initial conditions and transition rate constants
are as follows: Xicells'for iN
kiday;for iN Show clearly how you calcuate the value of I.
c Develop a Matlab code for the system of ODEs describing the erythropoiesis process. Use
parameter values and initial conditions as described in b Show the time profiles ie dynamics for all
N stages of the differentiation process during a period of two weeks in the same plot.
Step by Step Solution
There are 3 Steps involved in it
1 Expert Approved Answer
Step: 1 Unlock
Question Has Been Solved by an Expert!
Get step-by-step solutions from verified subject matter experts
Step: 2 Unlock
Step: 3 Unlock
