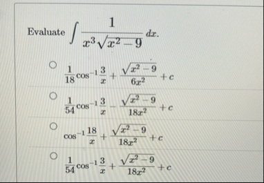
Question: Evaluate 1 x 3 x 2 - 9 2 d x 1 1 8 c o s - 1 ( 3 x ) x 2
Evaluate
Step by Step Solution
There are 3 Steps involved in it
1 Expert Approved Answer
Step: 1 Unlock
Question Has Been Solved by an Expert!
Get step-by-step solutions from verified subject matter experts
Step: 2 Unlock
Step: 3 Unlock
