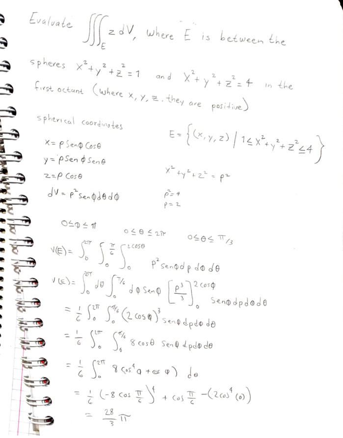
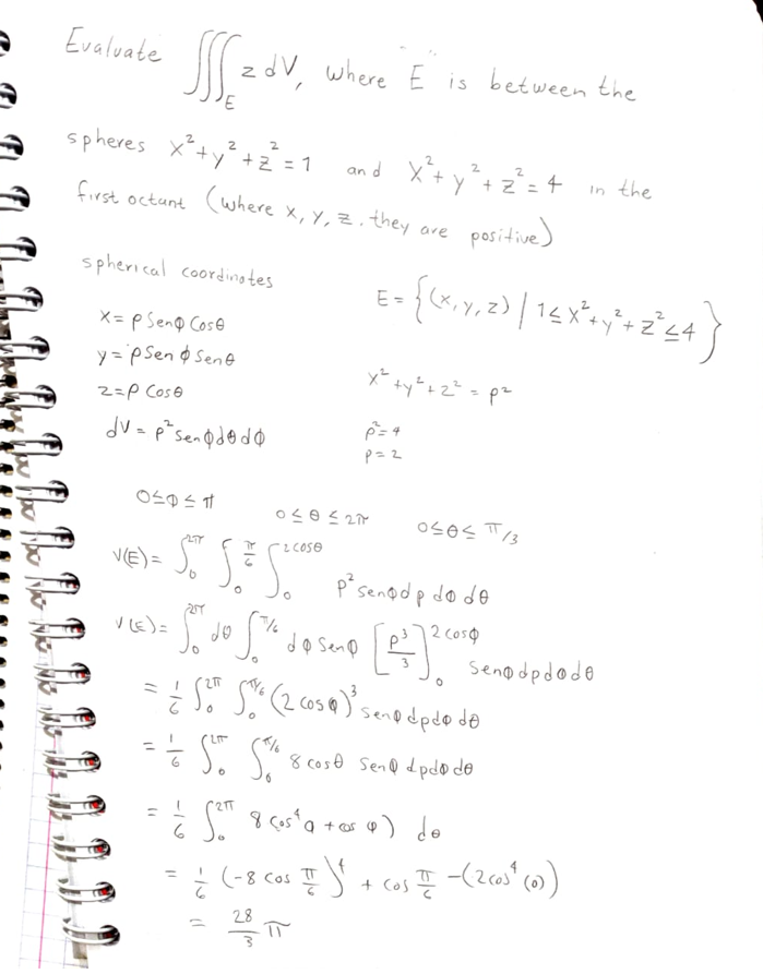
Question: Evaluate 2 0 V Where E is between the spheres X ty +z = 1 and Xty 2 +2 =4 in the first octant (


Evaluate 2 0 V Where E is between the spheres X ty +z = 1 and Xty 2 +2 =4 in the first octant ( where x, y, z. they are positive ) spherical coordinates E = 1( X , y , 2 ) / 14 x 7 + y 2 + 2 2 4 4 ) x = pSen@ Cose y = psenosene X " ty ? + 2 2 = pz 2 = P Cose du = p"senddodo p = 4 P = 2 040
Step by Step Solution
There are 3 Steps involved in it
Get step-by-step solutions from verified subject matter experts
