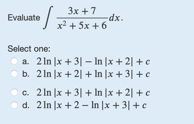
Question: Evaluate 3 x + 7 x 2 + 5 x + 6 d x Select one: a . 2 l n | x + 3
Evaluate
Select one:
Step by Step Solution
There are 3 Steps involved in it
1 Expert Approved Answer
Step: 1 Unlock
Question Has Been Solved by an Expert!
Get step-by-step solutions from verified subject matter experts
Step: 2 Unlock
Step: 3 Unlock
