Question: Evaluate 5 using two approaches: & and compare with the true value of 6.737947 103. Use python to add 25 terms together for each series
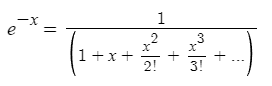
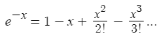
Evaluate 5 using two approaches:
&
and compare with the true value of 6.737947 103. Use python to add 25 terms together for each series and determine the true (e_t= abs((true-approx)/true)*100) and approximate (a_a = abs((current approx-previous approx)/current approx)*100) relative errors as terms are added.
ex=1x+2!x23!x3 ex=(1+x+2!x2+3!x3+)1
Step by Step Solution
There are 3 Steps involved in it
Get step-by-step solutions from verified subject matter experts
