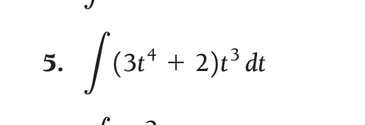
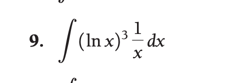
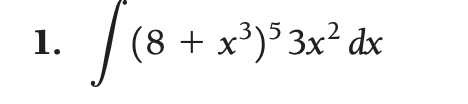
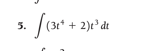
Question: Evaluate. Assume u > 0 when In u appears. (Be sure to check by differentiating!) Evaluate. Assume u > 0 when In u appears. (Be








Evaluate. Assume u > 0 when In u appears. (Be sure to check by differentiating!)
Evaluate. Assume u > 0 when In u appears. (Be sure to check by differentiating!)
Step by Step Solution
There are 3 Steps involved in it
Get step-by-step solutions from verified subject matter experts
