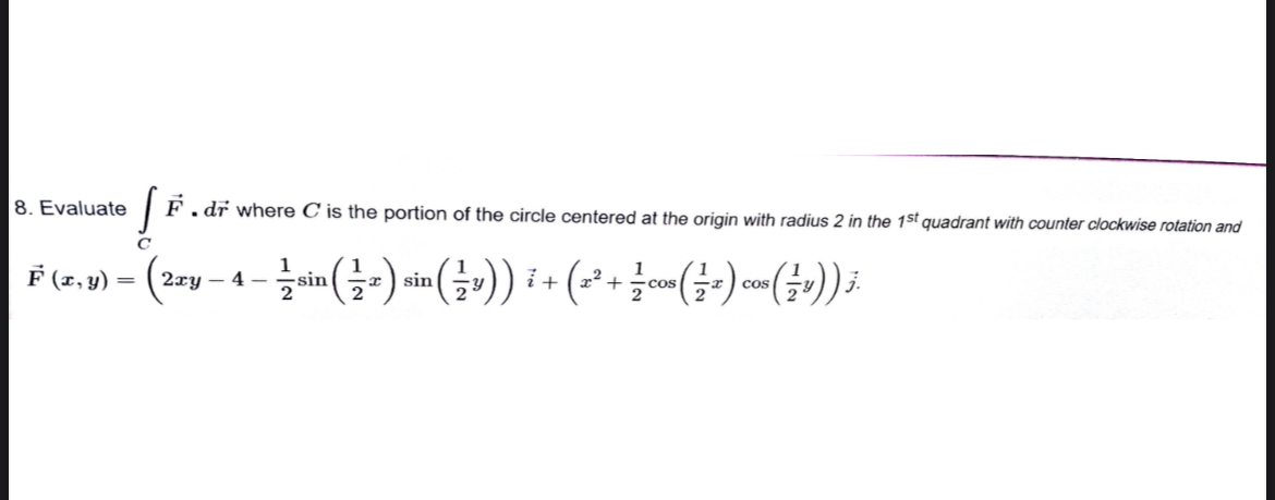
Question: Evaluate C vec ( F ) * d v e c ( r ) where C is the portion of the circle centered at the
Evaluate vec where is the portion of the circle centered at the origin with radius in the quadrant with counter clockwise rotation and
vec
Step by Step Solution
There are 3 Steps involved in it
1 Expert Approved Answer
Step: 1 Unlock
Question Has Been Solved by an Expert!
Get step-by-step solutions from verified subject matter experts
Step: 2 Unlock
Step: 3 Unlock
