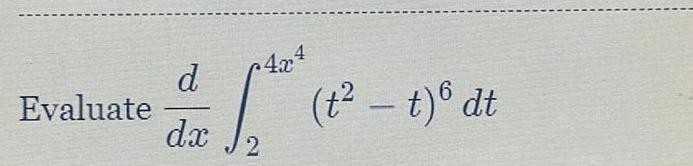
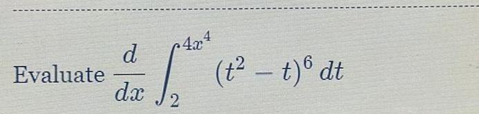
Question: Evaluate d dx 4x4 fe 2 t t 6 dt Evaluate t) 6 dt


Evaluate d dx 4x4 fe 2 t t 6 dt
Evaluate t) 6 dt
Step by Step Solution
There are 3 Steps involved in it
Get step-by-step solutions from verified subject matter experts
