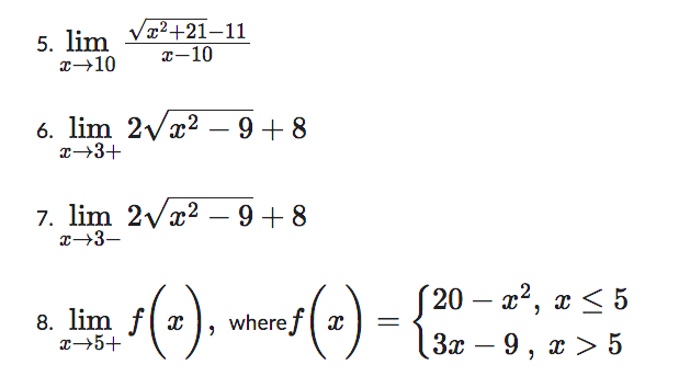
Question: Evaluate each of the limits below using algebraic methods. In the case of an infinite limit. write -l 00 or 00, as appropriate. If the






Evaluate each of the limits below using algebraic methods. In the case of an infinite limit. write -l 00 or 00, as appropriate. If the limit otherwise does not exist, write DN E. Show all work. When you are finished. scan or take pictures of your written work and upload it for grading. $2+9$+20 1. 11m $2_2$_24 z>4 $2+9$+20 2. lim 22324 z>4 :c z2+9$+20 $2 2:z:24 3 5 . . + .I:2 21 4' 11111 53221 22}2 12 _I_2 3. lim z>6+
Step by Step Solution
There are 3 Steps involved in it
Get step-by-step solutions from verified subject matter experts
