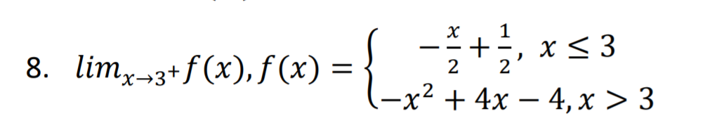
Question: Evaluate. 8. limx 2

Evaluate.

8. limx 2
Step by Step Solution
There are 3 Steps involved in it
Get step-by-step solutions from verified subject matter experts

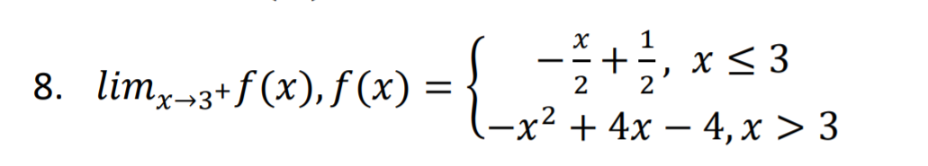
Evaluate.

8. limx 2
There are 3 Steps involved in it
Get step-by-step solutions from verified subject matter experts