Question: Evaluate: f(x) = x2 - 1,g(x) = x2 + 4x - 5. Find (2 /g)(x) Your answer 1 point If f(x) = x+6 and g(x)








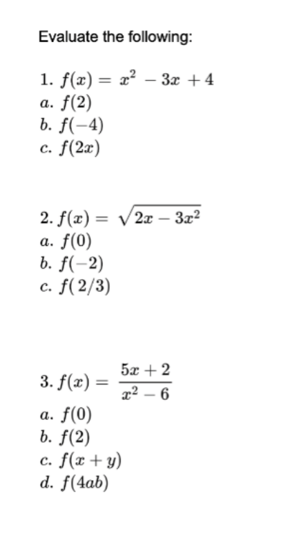
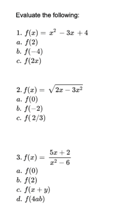
Evaluate: f(x) = x2 - 1,g(x) = x2 + 4x - 5. Find (2 /g)(x) Your answer 1 point If f(x) = x+6 and g(x) = 3x, then (3) = 1 False True1 point The functions fig(x) and gif(x)} are always the same O True O False If f(x) = 4x - 12 and g(x) = x - 3, then (f + 3g)(2) = -5 True O False1 point If f(x) = x -3 and g(x) = x +4, then (f - g)(x) =7 True O False 2 points Evaluate: f(x) = 4x - 5,g(x) = x2 + 4. Find gif(x)} Your answerEvaluate the following: 1. f(x) = x2 - 3x +4 a. f(2) b. f ( -4) c. f(2x) 2. f(x) = V2x - 312 a. f(0) b. f(-2) c. f( 2/3) 5x + 2 3. f(x) = x2 - 6 a. f(0) b. f(2) c. f(x + y) d. f(4ab)
Step by Step Solution
There are 3 Steps involved in it
Get step-by-step solutions from verified subject matter experts
