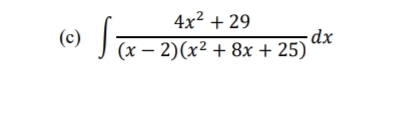
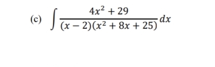
Question: evaluate indefinite integral 4x2 + 29 (c) dx (x - 2) (x2 + 8x + 25) 4x2 + 29 dx (x + 8x + 25)

evaluate indefinite integral

4x2 + 29 (c) dx (x - 2) (x2 + 8x + 25)
4x2 + 29 dx (x + 8x + 25)
Step by Step Solution
There are 3 Steps involved in it
Get step-by-step solutions from verified subject matter experts
