Question: Evaluate the definite integral. NOTE: Enter the exact answer. ti + tilldtFind the domain of r05) and the value of rag). NOTE.- Round your answer





![1-(17) = 0.5mm1523332341I X Calculate Hln(t) . r2(t)] and [ri(t) x r2(t)]](https://s3.amazonaws.com/si.experts.images/answers/2024/06/666707b4b76d6_212666707b4a76b2.jpg)
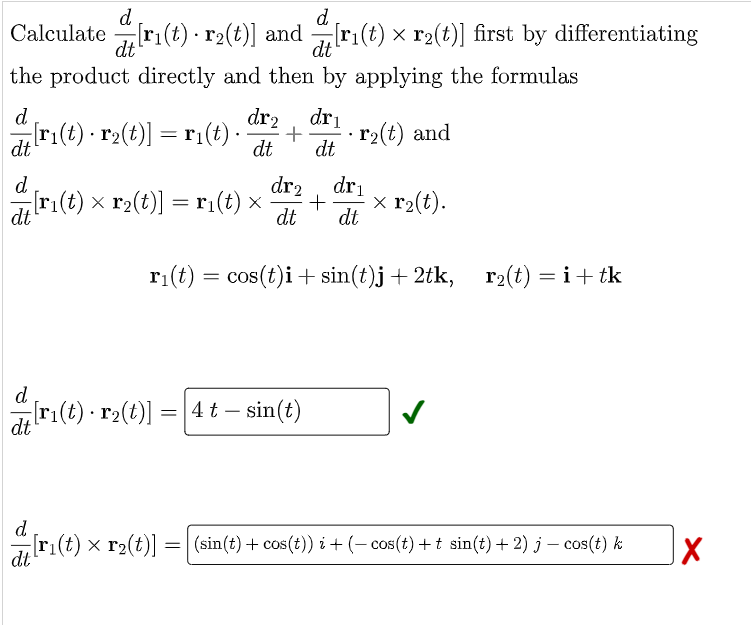
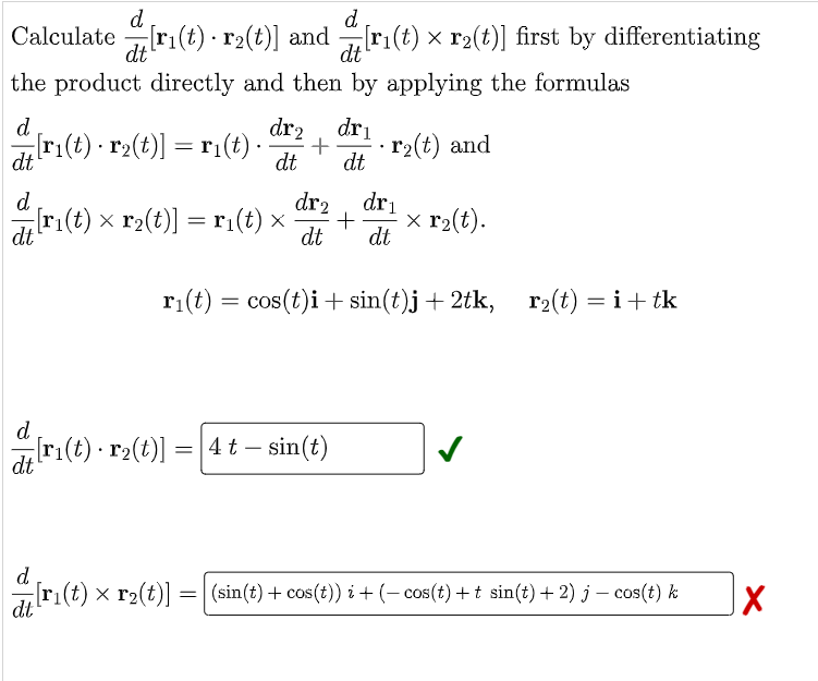
Evaluate the definite integral. NOTE: Enter the exact answer. ti + tilldtFind the domain of r05) and the value of rag). NOTE.- Round your answer to two decimal pieces when needed. 111?) = cos(1rt)i ln(t)j + Vt 16k; tn = 17 Domain is: J [ - ) J J NOTE: Enter your answer in tems of i,j, and k. 1-(17) = 0.5mm1523332341I X Calculate Hln(t) . r2(t)] and [ri(t) x r2(t)] first by differentiating the product directly and then by applying the formulas d ri(t) . r2(t)] = ri(t) . dr2 dri + dt dt dt r2(t) and dr2 dri x r2(t). dt ri(t) x r2(t)] = ri(t) x + dt dt ri(t) = cos(t)i + sin(t)j + 2tk, r2(t) = i+ tk d dt [ri(t) . r2(t)] = 4t - sin(t) dt [ri(t) x r2(t)] = (sin(t) + cos(t)) i + (-cos(t) + t sin(t) + 2) j - cos(t) k X
Step by Step Solution
There are 3 Steps involved in it
Get step-by-step solutions from verified subject matter experts
