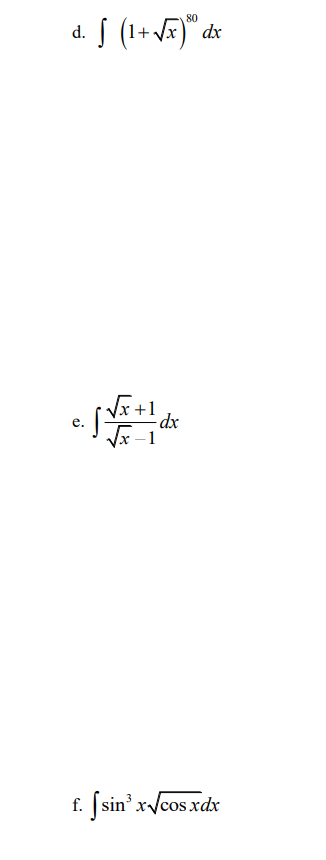
Question: Evaluate the following 3 integrals: d. [ (1+vx) dx vx +l e. dx Vx -1 f. [ sin' xVcos xdx
Evaluate the following 3 integrals:

d. [ (1+vx) dx vx +l e. dx Vx -1 f. [ sin' xVcos xdx
Step by Step Solution
There are 3 Steps involved in it
1 Expert Approved Answer
Step: 1 Unlock
Question Has Been Solved by an Expert!
Get step-by-step solutions from verified subject matter experts
Step: 2 Unlock
Step: 3 Unlock
