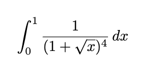
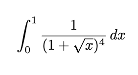
Question: Evaluate the following definite integral. dx 1 + vx 1 (1+vG)4

Evaluate the following definite integral.

dx 1 + vx
1 (1+vG)4
Step by Step Solution
There are 3 Steps involved in it
Get step-by-step solutions from verified subject matter experts
