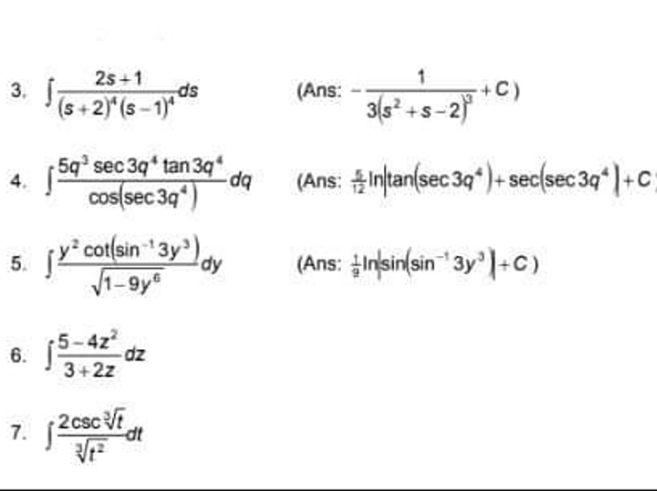
Question: Evaluate the following indefinite integrals. The topic is all about Integrals Yielding Natural Logarithmic Functions. Provide clean and clear solutions thank you and Godbless. Follow

Evaluate the following indefinite integrals. The topic is all about Integrals Yielding Natural Logarithmic Functions. Provide clean and clear solutions thank you and Godbless. Follow the numbering.

Step by Step Solution
There are 3 Steps involved in it
Get step-by-step solutions from verified subject matter experts
