Question: Evaluate the following integral. ( + 9 ) 2 dx (A) 18 2 + 9 arctan(;)) + c (B) (,24+ , arctan(;)) + c

 Evaluate the following integral. ( + 9 ) 2 dx (A)

18 2 + 9 " arctan(;)) + c (B) (,24+ , arctan(;))

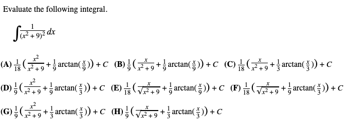
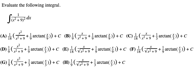
Evaluate the following integral. ( + 9 ) 2 dx (A) 18 2 + 9 " arctan(;)) + c (B) (,24+ , arctan(;)) + c (C) ($2+ + arctan( * )) + c (D) + 9 + arctan( )) + C (E) X X 18 + 9 + arctan(: )) + C (F) 18 X- +9 + " arctan( # )) + c (G) ! X x2+ 9 + arctan( )) + C (H) Vx-+9 + arctan( )) + c

Step by Step Solution

There are 3 Steps involved in it

1 Expert Approved Answer
Step: 1 Unlock blur-text-image
Question Has Been Solved by an Expert!

Get step-by-step solutions from verified subject matter experts

Step: 2 Unlock
Step: 3 Unlock

Students Have Also Explored These Related Mathematics Questions!