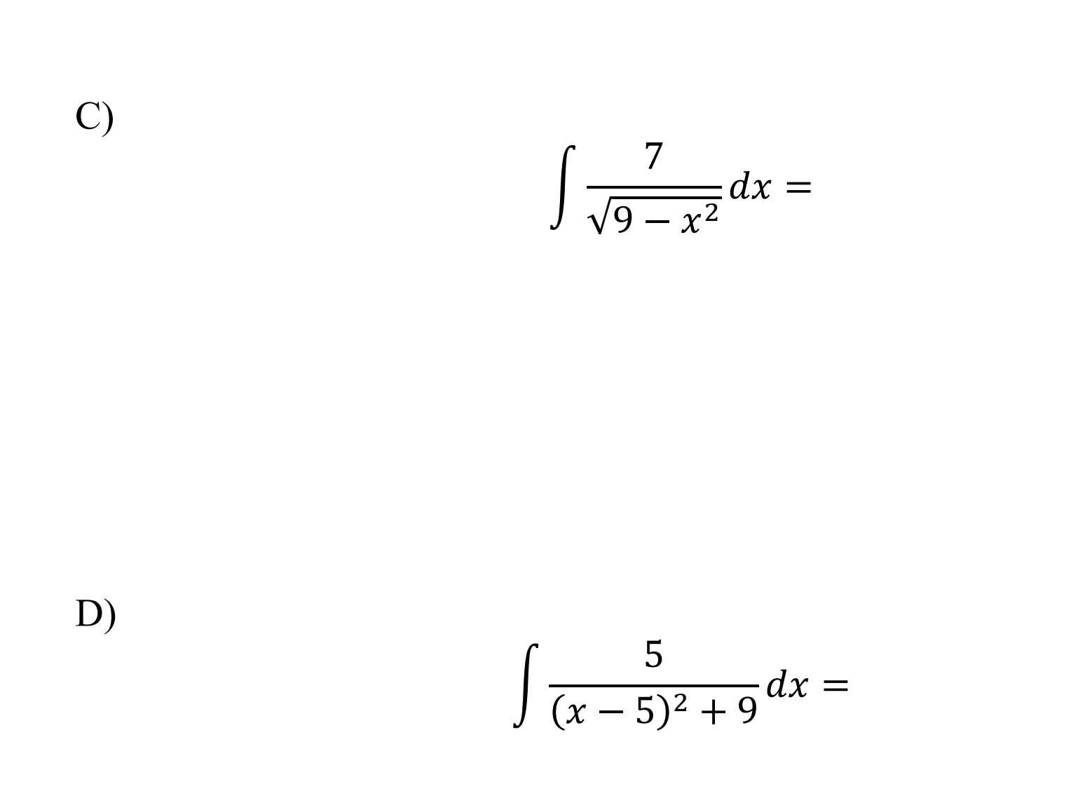
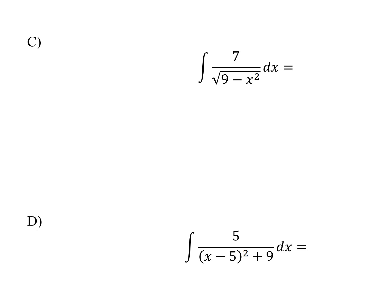
Question: Evaluate the following integrals C) 7 9 2 = D) 5 ( 5) 2 + 9 = C) D) dx

Evaluate the following integrals
C) 7 9 2 =
D) 5 ( 5) 2 + 9 =
C) D) dx
Step by Step Solution
There are 3 Steps involved in it
Get step-by-step solutions from verified subject matter experts
