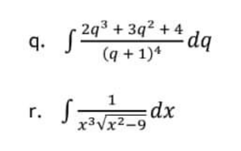
Question: Evaluate the following integrals. Provide a Clean and clear complete solutions. Provide WELL HANDWRITTEN solutions. Minimize erasures thank you.
Evaluate the following integrals. Provide a Clean and clear complete solutions. Provide WELL HANDWRITTEN solutions. Minimize erasures thank you.

Step by Step Solution
There are 3 Steps involved in it
Get step-by-step solutions from verified subject matter experts
