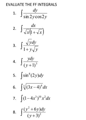
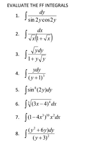
Question: Evaluate the following integrals. Provide clean and readable handwritten solutions thank you. EVALUATE THE FF INTEGRALS 1 . dy sin 2 y cos2j dx 2.

Evaluate the following integrals. Provide clean and readable handwritten solutions thank you.

EVALUATE THE FF INTEGRALS 1 . dy sin 2 y cos2j dx 2. (1 + Vx Vydy 3. ydy 4. (v + 1)3 5. [ sin*(2y)dy 6. [V(3x-4)'dx 7. [(-4x3)" x- dx 8. ((y' + 6y)dy (y+ 3)2
Step by Step Solution
There are 3 Steps involved in it
Get step-by-step solutions from verified subject matter experts
