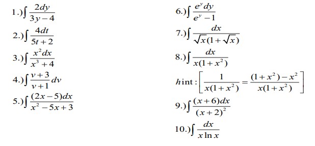
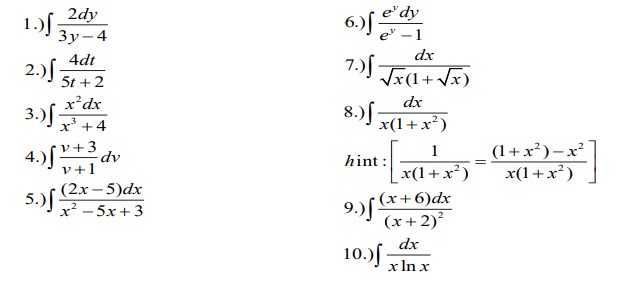
Question: Evaluate the following integrals using the logarithmic rules e dy 1.)J 2dy 6.)] 3y-4 py - 1 4dt 7.) dx 2.). 5t + 2 x(1

Evaluate the following integrals using the logarithmic rules
![2dy 6.)] 3y-4 py - 1 4dt 7.) dx 2.). 5t +](https://s3.amazonaws.com/si.experts.images/answers/2024/06/666de8332e326_899666de83311f37.jpg)
e" dy 1.)J 2dy 6.)] 3y-4 py - 1 4dt 7.) dx 2.). 5t + 2 x(1 + x) x'dx dx 3.) JC'8 x+4 x(1+x ) 4.)J v+3 dv 1 (1+x)-x v+1 hint : x(1+x) x(1+x) 5.)J (2x -5)dx (x+6)dx x- - 5x + 3 (x + 2)- 10.) dx x In x
Step by Step Solution
There are 3 Steps involved in it
Get step-by-step solutions from verified subject matter experts
