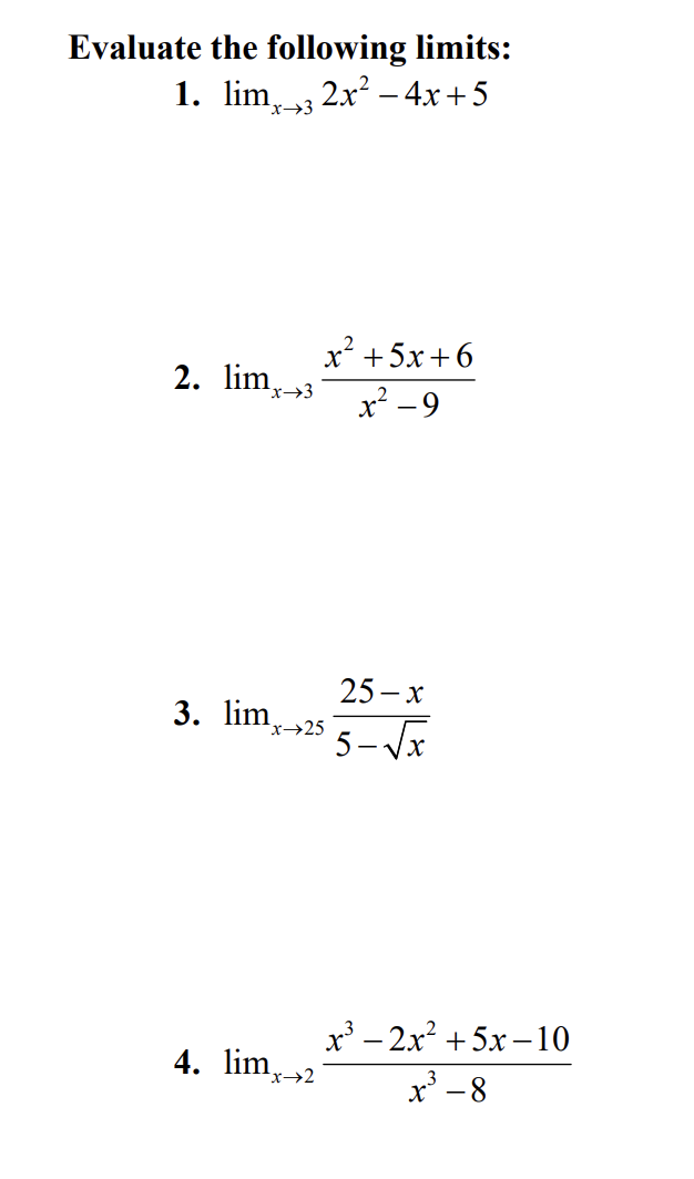
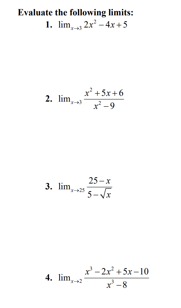
Question: Evaluate the following limits: 1. lim _3 2x2 -4x + 5 x - +5x+6 2. lim x - 3 x- - 9 25 -x 3.


Evaluate the following limits: 1. lim _3 2x2 -4x + 5 x - +5x+6 2. lim x - 3 x- - 9 25 -x 3. lim x-25 5- Vx x3 - 2x2 + 5x-10 4. lim x - 2 x' - 8
Step by Step Solution
There are 3 Steps involved in it
Get step-by-step solutions from verified subject matter experts
