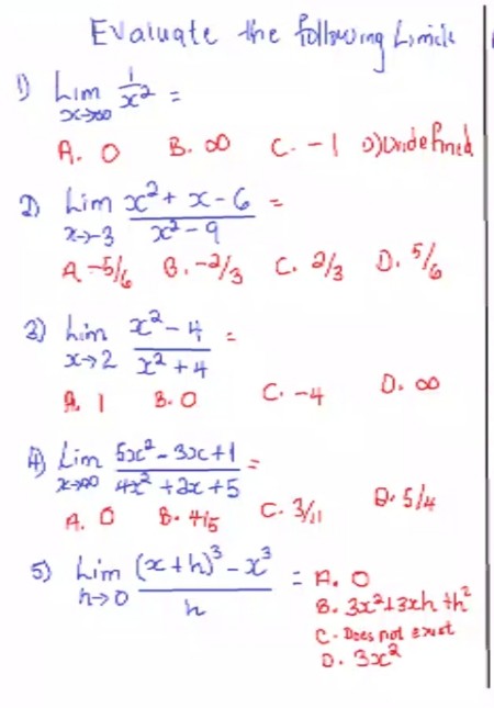
Question: Evaluate the following Lomcle 1) him 2 = X-7:0 A. O B. DO C. - 1 Djundefined 2) Lim ac-+ x- 6 = x-73 203-9






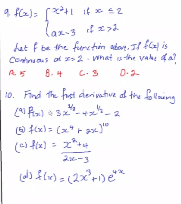
Evaluate the following Lomcle 1) him 2 = X-7:0 A. O B. DO C. - 1 Djundefined 2) Lim ac-+ x- 6 = x-73 203-9 A -5/ 6. -2/B C. 2/3 D. 5/ 2) him 2 2 - 4 - Al B. O C. - 4 D. OO 4) Lim Sac2- 30c+1 = 2-90 42 +22+5 A. O B. 415 C. 3/11 0. 5/4 5) him ( x th) - 2 : A. O B. 31 213chth C . Does not exit D. 330G. Lim 1 A. 1/ 4 8.00 C. 1/g D. 1 Didet f(xc) be defined such that f(x) is continuous at 2 = 2 . which of the following about f(x) is NOT True!? A. him f (x) does Not exist B. f( 2) Is defined D. him flail = fez) 2 ). If floe) = C + 3x - 10, which of the 20# - 4 following statements about flu Is TRUE ? A. the) is continuous at xe = 4 B. fix) Is dis. continuous at x- 24 x = - 2 C. f(x) is continuous for all values of IC 8 fix) is continuous at 2: 2 3x = - 29. f(x)= [2x2+ 1 if = = 2 (ax - 3 if x 72 Let f be the function about. If fled is Continuous at x= 2 . what is the value of al A. 5 B. 4 6 . 3 0.2 10. Find The fust derivative of the following 43 425 2 - 2 ( 5 ) f(x) = (264 + 2x()" ( c) fix ] = 2 + 4 232 - 3 ( dj flir ) = (2x+De
Step by Step Solution
There are 3 Steps involved in it
Get step-by-step solutions from verified subject matter experts
