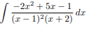
Question: Evaluate the indefinite integral : f+ 51 - 1}-(c +2 (rsin(x) In(x)) dn


Evaluate the indefinite integral :


\f+ 51 - 1}-(c +2
(rsin(x) In(x)) dn
Step by Step Solution
There are 3 Steps involved in it
Get step-by-step solutions from verified subject matter experts
