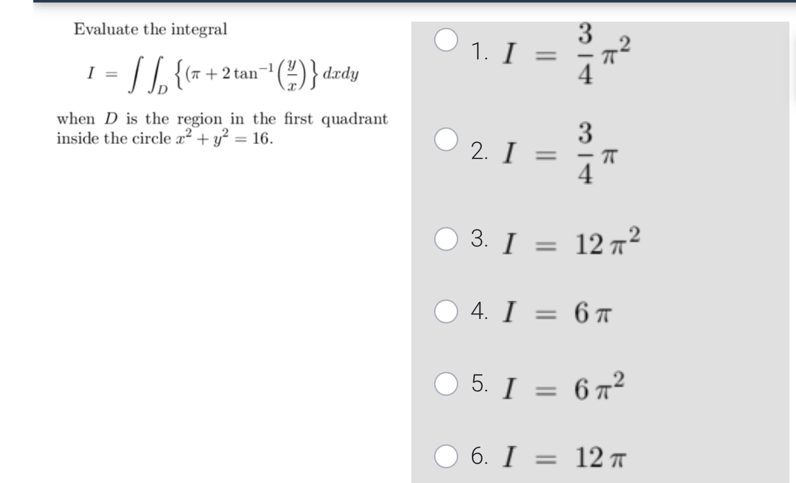
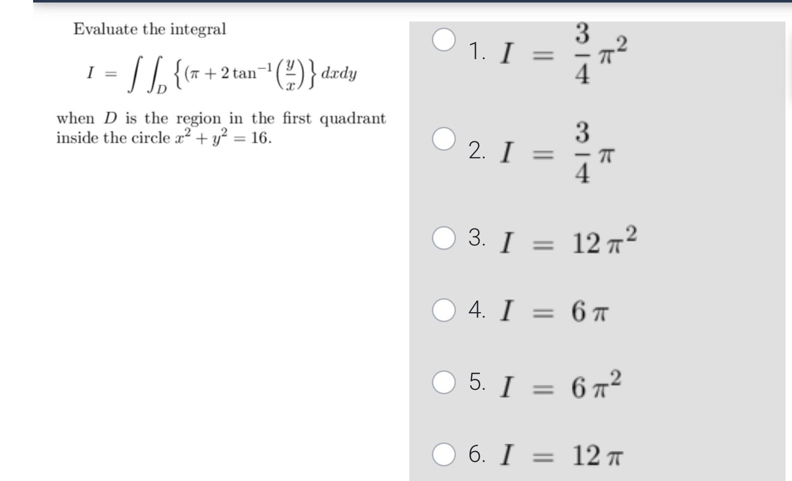
Question: Evaluate the integral 0 1 . I = 2 I CO TT 1 = / {(7 + 2 tan-' (4) } dady when D is


Evaluate the integral 0 1 . I = 2 I CO TT 1 = / {(7 + 2 tan-' (4) } dady when D is the region in the first quadrant inside the circle x2 + y? = 16. 0 2. 1 = TT 0 3. I = 1272 0 4. I = 6T 0 5. 1 = 612 0 6. I = 12 TT
Step by Step Solution
There are 3 Steps involved in it
Get step-by-step solutions from verified subject matter experts
