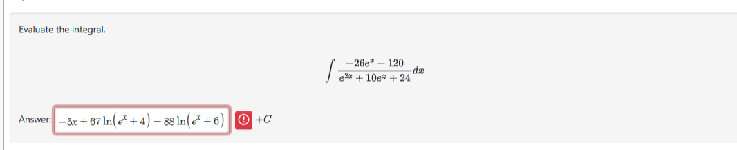
Question: Evaluate the integral. - 2 6 e x - 1 2 0 e 2 x + 1 0 e x + 2 4 d x
Evaluate the integral.
Answer:
Step by Step Solution
There are 3 Steps involved in it
1 Expert Approved Answer
Step: 1 Unlock
Question Has Been Solved by an Expert!
Get step-by-step solutions from verified subject matter experts
Step: 2 Unlock
Step: 3 Unlock
