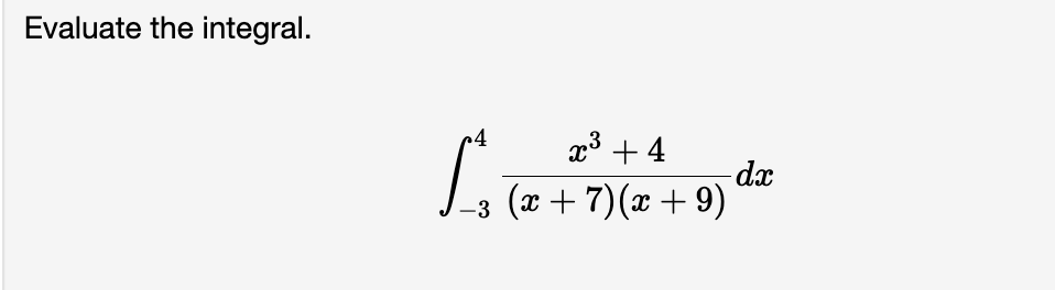
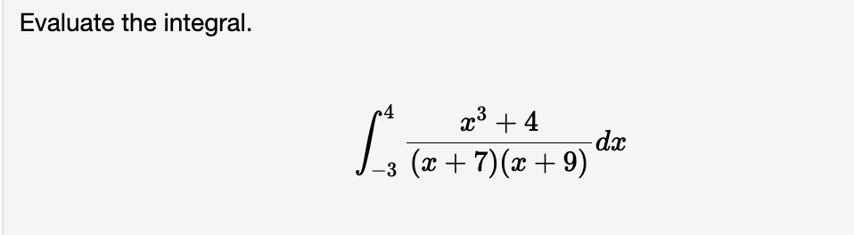
Question: Evaluate the integral. 203 + 4 dac 3 (x + 7 (x +9) Evaluate the integral. 4 _3 dc


Evaluate the integral. 203 + 4 dac 3 (x + 7 (x +9)
Evaluate the integral. 4 _3 dc
Step by Step Solution
There are 3 Steps involved in it
Get step-by-step solutions from verified subject matter experts
