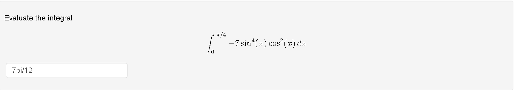
Question: Evaluate the integral /4 -7pi/12 7 sin(x) cos(x) dx Evaluate the integral -2 csc(x) cot(x) dx 1-2 Note: Use an upper-case C for the



Evaluate the integral /4 -7pi/12 7 sin(x) cos(x) dx Evaluate the integral -2 csc(x) cot(x) dx 1-2 Note: Use an upper-case "C" for the constant of integration. Also, use 1/tan(x) for cot(x), and use 1/sin(x) for csc(x). 2*(((1/7)* (1/(cot(x))^7)) + (1/9)*(1/(cot(x))^9))+ C Evaluate the integral Answer: dx x2+4x+13 Note: Use for an arbitrary constant. by completing the square and using trigonometric substitution. Evaluate the integral. -7x2 4x dx =
Step by Step Solution
There are 3 Steps involved in it
Get step-by-step solutions from verified subject matter experts
