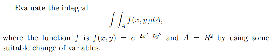
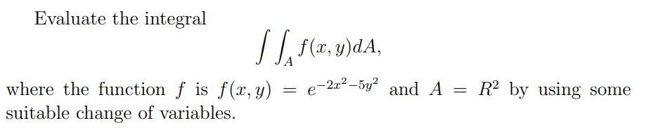
Question: Evaluate the integral [A awdA, where the function f is f(;r,y) : 6432532 and A : R2 by using some suitable change of variables


Evaluate the integral [A awdA, where the function f is f(;r,y) : 6432532 and A : R2 by using some suitable change of variables
Step by Step Solution
There are 3 Steps involved in it
Get step-by-step solutions from verified subject matter experts
